所屬科目:教甄◆數學專業
4. 在 1781 年,日本藤田貞資於《精要算法》中提出所謂「蟲蝕算」這種填字遊戲。顧名思義,蟲蝕算遊戲就是將算式中打□被蟲損傷的地方,根據算術或代數推理手段恢復原來的 數字使等式成立。下圖是一道稱為〈一個 8〉的蟲蝕算遊戲: 試問:這道遊戲的最後四個數字為_____________。
5. 設 f(x) 為二次多項式函數,且對所有的實數 x 恆有 f(x-2)=f(-x-2)。已知 f (x) 的圖形在 y 軸上的截距為 1,在 x 軸上截得的線段長為,求 f(x) =_____________。
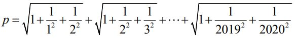
6. 設 , 則與 p 最接近之正整數為_____________。
7. 已知函數y=log2(kx2)的圖形與函數y=2|x| +x的圖形交於 A、B 兩點。若, 則 k 之值為_____________。
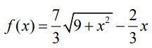
8. 設 x≧0,當有最小值時,此時 x 的值為_____________。
9. 設 f(x) 與 g(x) 都為實係數二次多項式且最高項係數皆為 1,已知((f(x))2除以 g(x) 的餘式為 4x+1,而((g(x))2除以f(x)的餘式為5x+3 ,求g(x)= _____________。
10. 已知空間中有一個四面體的四個頂點分別為 A(0, 0, 1), B(2, 4, 0), C(0, 0, 0), D(4, 2, 0), 平面 E 通過 A 點與中點且與有交點。若平面 E 將此四面體分成兩塊,其中一塊的 體積為原四面體的 ,求 E 的方程式為_____________。
3. 已知f(x)=x3-x2-2x,,求 g(x) 的極值。
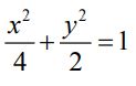
4. 動直線 L 與 x 軸垂直,且與橢圓交於 A, B 兩點,若, 求 P 點的軌跡方程式