阿摩線上測驗
登入
首頁
>
微積分
> 100年 - 100年高等三級暨普通考普通_氣象#26954
100年 - 100年高等三級暨普通考普通_氣象#26954
科目:
微積分 |
年份:
100年 |
選擇題數:
0 |
申論題數:
12
試卷資訊
所屬科目:
微積分
選擇題 (0)
申論題 (12)
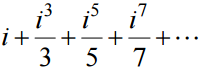
【已刪除】⑴求
。( 5 分)
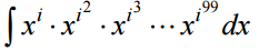
【已刪除】⑵求
。(10 分)
【已刪除】⑴求
。(5 分)
【已刪除】⑵求
。(10 分)
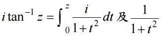
【已刪除】⑴若
,用圖形及說明,證明
。(10 分)
【已刪除】⑵用
之等比級數,求
。(15 分)
【已刪除】⑴用 Lagrange 乘子法,求
與
之相關等式。(5 分)
⑵隱微分G( x, y) = 20000), 說明此等高線在第一象限為下降且向上凹之曲線。 (10 分)
⑶用G( x, y) = 20000之對稱性及⑵,求 f (x, y)之最小值。(10 分)
⑴將圓柱面x
2
+y
2
= 2
x
化為極坐標等式。(5 分)
⑵畫出由橢圓拋物面 z=10 −
x
2
−y
2
及⑴之柱面和平面 z = 0所包圍立體區域S 之略 圖。(5 分)
⑶求S 之體積。(10 分)
相關試卷
114年 - 114 公務升官等考試_薦任_物理:微積分#133273
114年 · #133273
114年 - 114 一般警察特種考試_三等_消防警察人員:微積分#127792
114年 · #127792
113年 - 113 普通考試_天文:微積分#121499
113年 · #121499
113年 - 113 一般警察特種考試_三等_消防警察人員:微積分#120498
113年 · #120498
112年 - 112 公務升官等考試_薦任_物理:微積分#117315
112年 · #117315
112年 - 112 普通考試_天文、氣象:微積分#115417
112年 · #115417
112年 - 112 一般警察特種考試_三等_消防警察人員:微積分#114953
112年 · #114953
112年 - 112 身心障礙特種考試_四等_氣象:微積分#113932
112年 · #113932
111年 - 111 普通考試_氣象:微積分#109324
111年 · #109324
111年 - 111 一般警察特種考試_三等_消防警察人員:微積分#108604
111年 · #108604