阿摩線上測驗
登入
首頁
>
微積分
> 102年 - 102年升官等、102年關務人員升官等、102年交通事業郵政、港務及公路人員升資考公務薦任_物理#25555
102年 - 102年升官等、102年關務人員升官等、102年交通事業郵政、港務及公路人員升資考公務薦任_物理#25555
科目:
微積分 |
年份:
102年 |
選擇題數:
0 |
申論題數:
7
試卷資訊
所屬科目:
微積分
選擇題 (0)
申論題 (7)
一、若f (x ) =sin(x
3
) ,試求: f
(15)
(0) 。(10 分)
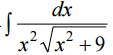
【已刪除】二、計算
。(15 分)
【已刪除】三、計算
(ln x)
3
dx。(15 分)
四、計算以下曲線長度r(t)= √ 2 ti+e
t
j+e
-t
k ,0≤t ≤1。(15 分)
五、求曲面z
2
=x
2
=y
2
+2xy與點(4,8,0)最近的點。(15 分)
六、試求以下積分:∫∫∫
B
( x
2
+ y
2
+ z
2
)
2
dV ,此處B= {(x ,y ,z ):x
2
+ y
2
+ z
2
≤ 9 } 。(15 分)
【已刪除】七、試求以下線積分:
(4xy- e
sin x
)dx+8x+ln tan y)dy ,此處C= {( x,y ): x
2
+y
2
=25} 。 (15 分)
相關試卷
114年 - 114 公務升官等考試_薦任_物理:微積分#133273
114年 · #133273
114年 - 114 一般警察特種考試_三等_消防警察人員:微積分#127792
114年 · #127792
113年 - 113 普通考試_天文:微積分#121499
113年 · #121499
113年 - 113 一般警察特種考試_三等_消防警察人員:微積分#120498
113年 · #120498
112年 - 112 公務升官等考試_薦任_物理:微積分#117315
112年 · #117315
112年 - 112 普通考試_天文、氣象:微積分#115417
112年 · #115417
112年 - 112 一般警察特種考試_三等_消防警察人員:微積分#114953
112年 · #114953
112年 - 112 身心障礙特種考試_四等_氣象:微積分#113932
112年 · #113932
111年 - 111 普通考試_氣象:微積分#109324
111年 · #109324
111年 - 111 一般警察特種考試_三等_消防警察人員:微積分#108604
111年 · #108604