阿摩線上測驗
登入
首頁
>
微積分
> 102年 - 102年地方考三等_天文#25557
102年 - 102年地方考三等_天文#25557
科目:
微積分 |
年份:
102年 |
選擇題數:
0 |
申論題數:
7
試卷資訊
所屬科目:
微積分
選擇題 (0)
申論題 (7)
【已刪除】一、已知矩陣 A =
,求矩陣 A 的對角化後的矩陣。(15 分)
【已刪除】二、令 η = z
2
dxdy在 R
3
空間,並令S 是在 R
3
空間單位球的上半球體。計算
=? (15 分)
⑴求矩陣 A 的列空間的基底。
⑵求矩陣 A 的行空間的基底。
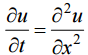
【已刪除】四、有一熱方程式
,其中t > 0 且 − ∞ < x < ∞ 。已知一開始時溫度的分布是 u(x,0) = 1+ cos 2x, − ∞ < x < ∞。求這個問題的解。(20 分)
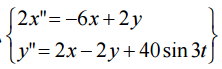
【已刪除】五、已知有一個系統
它一開始時的條件是 x(0) = x'(0) = y(0) = y'(0) = 0。求這個問題的解。(20 分)
六、已知問題 y''+y = tan x和 y(0) = 1, y'(0) = 0。求這個問題的解。(20 分)
相關試卷
114年 - 114 公務升官等考試_薦任_物理:微積分#133273
114年 · #133273
114年 - 114 一般警察特種考試_三等_消防警察人員:微積分#127792
114年 · #127792
113年 - 113 普通考試_天文:微積分#121499
113年 · #121499
113年 - 113 一般警察特種考試_三等_消防警察人員:微積分#120498
113年 · #120498
112年 - 112 公務升官等考試_薦任_物理:微積分#117315
112年 · #117315
112年 - 112 普通考試_天文、氣象:微積分#115417
112年 · #115417
112年 - 112 一般警察特種考試_三等_消防警察人員:微積分#114953
112年 · #114953
112年 - 112 身心障礙特種考試_四等_氣象:微積分#113932
112年 · #113932
111年 - 111 普通考試_氣象:微積分#109324
111年 · #109324
111年 - 111 一般警察特種考試_三等_消防警察人員:微積分#108604
111年 · #108604