所屬科目:教師專業碩士◆數學專業
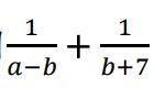
4.設的整數部分為a、小數部分為b,則 = 。
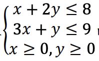
11.在的限制條件下,5x + 4y的最大值為 。
15.已知y = f(x) = 2x3 − 3x2 + 5,若利用y = f(x)之圖形可找出合成函數的圖形會在a點產生最大值,則a點的坐標為
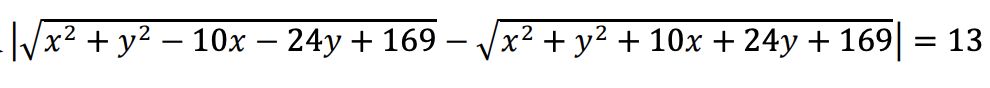
16. 曲 線之 同一分支的頂點與焦點,分別作為一拋物線的頂點與焦點。若此曲線和拋物 線正焦弦長分別為a和b,試求a + b = 。
23.設{an}為無窮數列,若對任意正整數n,不等式 4n2 − 5 ≤ (3n2 + 2)an ≤ 4n2 + 3n + 5恆成立,則 = 。
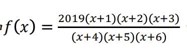
24.已知,則f(x)在x = −1的導數為 。
25.設矩陣成立,則a + b = 。