所屬科目:教甄◆數學專業
(A)4 (B)6 (C)8 (D)10
3. 矩形ABCD中,
, 則四面體ABCD的外接球的體積為?
8. 已知
9. 下列各方程式,何者有三個實根?
11. 若 z1,z2,z3,z4分別為方程式 z4+z3+z2+z+1= 0 的四個根,下列 選項何者正確? (A)設i = √-1,則 i ×z 1 為方程式 z5 =i 的一個根 (B)| zk −1| >1 對 k =1,2,3,4 時皆成立 (C)(z1+1 ) (z2+1 ) (z3+1 ) (z4+1 )=1(D) (2-z1)2+(2-z2)2+(2-z3)2+(2-z4)2=18
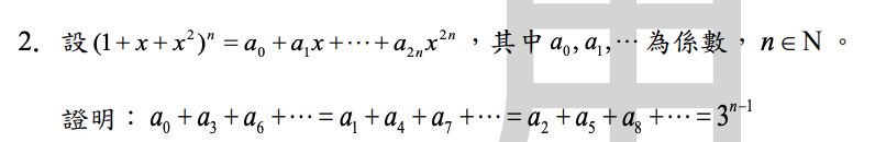
4. 已知n N ∈ ,且 ,則 n = 10 。
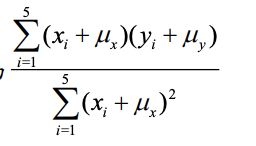
6. 設有 5 個二維數據,其統計資料如下﹕如果小小兵求 y 對 x 的迴歸直線方程式時,不慎將斜率公式誤植為求得斜率為 311/9 ,其餘計算沒有錯誤,則正確的迴歸直線方程式應為________ 。
7. 設,求 f ′(0) = ________, f ′(1) = ______ 。
8. 滿足(|x|-3)2+(|y|-1)2≦4 所圍出的區域面積為____ 。