所屬科目:高中(學測,指考)模擬考◆數學
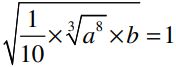
5. 已知則下列敘述哪些正確? (A) ab > 5 (B) (C) logab < log ba (D) 是 30 位數 (E) 是 11 的倍數
7. 設直角三角形 ABC 中,∠A = 90°,D、E 是斜邊上的兩相異點,且。若 ,則下列敘述哪些是正確的? (A)x2+y2= 64 (B) △ABC 面積的最大值為 32 (C) 無論 x、y 的值為何, 的長度都固定 (D) 設中點為 M,則> −32 (E) △ABC 周長的最大值為