所屬科目:微積分
1. . (A)O(B)X(C)(D)
2. . (A)O(B)X(C)(D)
3. (A)O(B)X(C)(D)
5. . (A)O(B)X(C)(D)
6. . (A)O(B)X(C)(D)
7. Suppose f is integrable on [ a,b] , define F(x)=, then F is differentiable on (a,b). (A)O(B)X(C)(D)
8. Let f be a continuous function defined on a closed interval [1, 3] and 3 f (x) ≤ for all ] x ∈[1,3 . Define (A)O(B)X(C)(D)
9. Let f be a function defined on the set D = {(x, y) | −1 ≤ x ≤ 1,−1 ≤ y ≤ 1}. If (0,0) and (0,0) exist, then f is differentiable at (0,0). (A)O(B)X(C)(D)
11. . (A) (B) (C) (D) (E)
12. The area between the curve y = and the lines y = 0 , x = 0 and x = 1 is . (A) (B) (C) (D) (E)
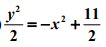
13. Find the equation of the curve that satisfies the differential equation yy′ + 2x = 0 and that passes through the point (3,−1). (A) (B) (C) (D)(E)
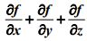
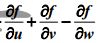
14. If f (u, v, w) is differentiable and u = x − y , v = y − z and w = z − x , then =? (A) − 3 (B) 0 (C) 3 (D)- (E)
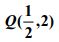
15. If f (x, y) = xey , then the rate of change of f at the point P(2,0) in the direction from P to , is: (A) − (B) − (C)1 (D) (E)
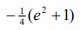
16. =_____ . (A) 1 (B) 2 (C) 3 (D) –1 (E)
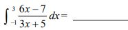
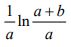
17. Suppose a, b>0, then =_____ . (A) (B) (C) (D) (E)
18. =_____ . (A) (B) (C) (D) (E)
19. Let x f x xe−x and p(x) = ... be the Maclaurin series of f(x), then a4 = . (A) (B) (C) (D) (E)
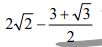
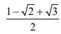
20. The slope of the tangent line to the polar curve cosθ r = +cosθ at the point(r ,θ) =(√2, ) = is: (A) –1 (B) − (C) − (D)− (E) -
21. The volume of the solid bounded by z = is : (A) π (B) π (C) π (D) π (E) π
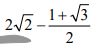
22. Let = _____. (A) 1 (B) 2 (C) 4 (D) 16 (E)
23. Define the function . Which of the following statement is correct? (A) Function f derives its absolute maximum at point x = −1 (B) Function f derives its absolute maximum at point x = 0 (C) Function f derives its absolute maximum at point x = 1 (D) Function f derives its absolute minimum at point x = −1 (E) Function f does not have absolute maximum or minimum value
24. Define ∫ . Which of the following statement is false?
(A) f is a strictly increasing function
(B) f ′(x) = (cos x)4
(C) ) f (x + 2π ) − f (x is constant
(D) 0 f (x) ≥ for all real number x (E) 0
25. Let D = {(x, y)〡 0 ≤ x ≤ 2 , 1 ≤ y ≤ 2} π , then ∫∫ D x cos(xy)dA =_____ . (A) − (B) −1 (C) 0 (D) (E) 1
26. = _____ . (A) (B) (C) (D) (E)