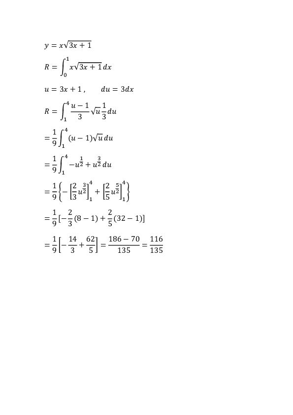
12. The area between the curve y =
and the lines y = 0 , x = 0 and x = 1 is .
(A)
(B)
(C)
(D)
(E)
答案:登入後查看
統計: 尚無統計資料
統計: 尚無統計資料
詳解 (共 1 筆)
#4007262

0
0