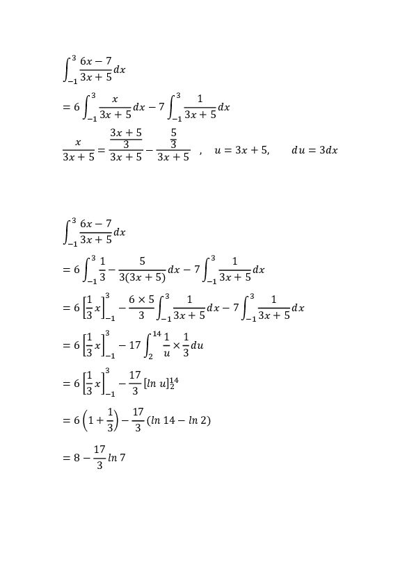
11.
.
(A)
(B) 
(C)
(D)
(E) 
答案:登入後查看
統計: A(1), B(0), C(0), D(0), E(0) #2308499
統計: A(1), B(0), C(0), D(0), E(0) #2308499
詳解 (共 1 筆)
#4007180

0
0