阿摩線上測驗
登入
首頁
>
微積分
> 94年 - 94 地方政府特種考試_四等_天文:微積分#38544
94年 - 94 地方政府特種考試_四等_天文:微積分#38544
科目:
微積分 |
年份:
94年 |
選擇題數:
0 |
申論題數:
6
試卷資訊
所屬科目:
微積分
選擇題 (0)
申論題 (6)
一、設
f (x) =sin
3
( x
2
+1) ,求 f ′(x) ?(10 分)
二、解方程式 y'=5x
2
e
-2y
。(10 分)
三、求 ∫cos
3
x sin
3
xdx 。(20 分)
四、求曲線x = −1, x =1, y = x
3
, y = x 所圍區域的面積。(20 分)
【已刪除】五、求函數 f (x) =
在點(2,3) 的切線方程式和法線方程式。(20 分)
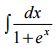
六、求
?(20 分)
相關試卷
114年 - 114 公務升官等考試_薦任_物理:微積分#133273
114年 · #133273
114年 - 114 一般警察特種考試_三等_消防警察人員:微積分#127792
114年 · #127792
113年 - 113 普通考試_天文:微積分#121499
113年 · #121499
113年 - 113 一般警察特種考試_三等_消防警察人員:微積分#120498
113年 · #120498
112年 - 112 公務升官等考試_薦任_物理:微積分#117315
112年 · #117315
112年 - 112 普通考試_天文、氣象:微積分#115417
112年 · #115417
112年 - 112 一般警察特種考試_三等_消防警察人員:微積分#114953
112年 · #114953
112年 - 112 身心障礙特種考試_四等_氣象:微積分#113932
112年 · #113932
111年 - 111 普通考試_氣象:微積分#109324
111年 · #109324
111年 - 111 一般警察特種考試_三等_消防警察人員:微積分#108604
111年 · #108604