所屬科目:高中指考◆數學甲
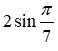
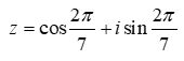
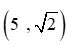
1. 設,試問複數1-z的絕對值為以下哪一選項? (A) (B) (C) (D) (E)
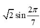
2. 試問下列有關極限的敘述何者正確? (A) 極限不存在 (B) 極限為0 (C) 極限為1 (D) 極限為5 (E) 極限為-2
3. 設a1,a2,a3,...,a10是一等比數列,其首項a1>1且公比r>1 。坐標平面上有一質點M自原點(0,0)出發,依以下規則連續移動十次:第一次移動往右loga1單位,第二次移動向上log a2單位,第三次移動往右 log a3單位,第四次移動向上log a4單位,依此類推直到第十次;即第2k-1次的移動是往右log a2k-1單位,接著第2k次的移動是向上log a2k單位。已知經過這十次的移動後,該質點M停在點(5+5log2,5+log2)的位置上,試問首項與公比 組成的序對 為以下哪一選項? (A) (B) (C) (D) (E)
4. 某校高三共有300位學生,數學科第一次段考、第二次段考成績分別以X、Y表示,且每位學生的成績用0至100評分。若這兩次段考數學科成績的相關係數為0.016,試問下列哪些選項是正確的?(A)X 與Y的相關情形可以用散佈圖表示(B)這兩次段考的數學成績適合用直線X=a+bY表示X與Y的相關情形( a,b為常數,b≠0 ) (C)X+5與Y+5的相關係數仍為0.016 (D)10X 與10Y的相關係數仍為0.016 (E)若,其中分別為X、Y 的平均數,SX 、SY分別為X、Y的標準差,則 與 的相關係數仍為 0.016
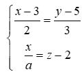
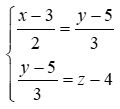
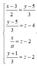
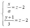
6. 設a是不為零的實數,且以下的三元一次方程組有解:試問下列哪些選項是正確的?(A)a=2(B) 原方程組有唯一解 (C) 方程組 有無窮多解 (D) 方程組 有唯一解 (E) 方程組 有無窮多解
7. 有關矩陣 ,試問下列哪些選項是正確的? (A)AB=BA(B)A2B=BA2(C)A11B3=B6A5(D)AB12=A7(E)(ABA)15=AB15A
A. 某公司共有6個工廠,各工廠的產量都一樣,且所生產的產品都放進同一倉庫中。由過去的經驗知道,第 k個工廠的產品不良率為 ,其中k=1,2,3,4,5,6 ,為了檢驗倉庫中這一批產品的品質,從倉庫中任意抽出一件,若為不良品,則此不良品是來自第五個工廠的機率為 。 (化成最簡分數)
(2) (8分) 若△ABC中, ,且D,E是上兩點,滿足 ,試求△CDE的面積。
(2) (5分) 試求△ABC的外心坐標。