阿摩線上測驗
登入
首頁
>
微積分
> 98年 - 098年升官等、98年關務人員升官等薦任_物理#34305
98年 - 098年升官等、98年關務人員升官等薦任_物理#34305
科目:
微積分 |
年份:
98年 |
選擇題數:
0 |
申論題數:
7
試卷資訊
所屬科目:
微積分
選擇題 (0)
申論題 (7)
【已刪除】一、級 數
,如果
,試詳細證明 lim
N →∞
S
N
是收斂或發散級數。(10 分)
【已刪除】二、級數
,證明Sα 、Sb各為發散或收斂級數。(10 分)
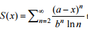
【已刪除】三、利用前兩題的結果求級數
的收斂半徑和收斂區間。(15 分)
【已刪除】四、求
。(10 分)
五 y =αx+
b
and y=x
2
兩條平面上的曲線相交於 A、B 兩點,則參數α 、b 有何限制條 件?若曲線 y=x
2
上另一點 P 位於曲線 y=2 y =αx+b 下方,當三角形∆ABP的面積最大 時,求 P 點的座標,和∆ABP的面積。(20 分)
【已刪除】六、證明級數
滿足下列方程式:x
2
J"(
x
)+
x
J ′′(
x
) =(
1-x
2
) J (
x
) 。(20 分)
七、
D
是由z=0 and z=1-x
2
-y
2
兩個曲面所圍起來的封閉區域,求封閉區域
D
的體 積。(15 分)
相關試卷
114年 - 114 公務升官等考試_薦任_物理:微積分#133273
114年 · #133273
114年 - 114 一般警察特種考試_三等_消防警察人員:微積分#127792
114年 · #127792
113年 - 113 普通考試_天文:微積分#121499
113年 · #121499
113年 - 113 一般警察特種考試_三等_消防警察人員:微積分#120498
113年 · #120498
112年 - 112 公務升官等考試_薦任_物理:微積分#117315
112年 · #117315
112年 - 112 普通考試_天文、氣象:微積分#115417
112年 · #115417
112年 - 112 一般警察特種考試_三等_消防警察人員:微積分#114953
112年 · #114953
112年 - 112 身心障礙特種考試_四等_氣象:微積分#113932
112年 · #113932
111年 - 111 普通考試_氣象:微積分#109324
111年 · #109324
111年 - 111 一般警察特種考試_三等_消防警察人員:微積分#108604
111年 · #108604