阿摩線上測驗
登入
首頁
>
微積分
>
99年 - 99年高等三級暨普通高三_氣象#27586
> 申論題
題組內容
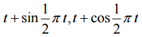
五、已知F(x, y) = xy
2
i + x
2
yj, C : r(t) =
〈
〉, 0 ≤ t ≤1。請回答下列問題:(20 分)
⑵求∫
C
F·dr。
相關申論題
⑴求溫度的變化速率在點 P(2, -1, 2)和 P 到點(3,-3,3)的方向上。
#49978
⑵求在那一個方向 P 點的溫度增加最快?
#49979
⑶求在 P 點溫度增加最快的速率。
#49980
三、求f (x, y) = x 2 + y 2 + x 2 y + 4 在集合D = {(x, y) | |x|≤1, |y| 1}的絕對極大值和絕對極小值 。(10 分)
#49982
⑴求滿足 F =∇f 的函數 f。
#49984
七、繪製 z= |✖| + |y|的圖形。(15 分)
#556240
六、設z =sin-1 (tan( xy) 。證明=(x+y)sec2(xy)sec z。(15 分)
#556239
五、求過曲線xy3+4x2 = 5 上一點(1,1) 的切線方程式。(15 分)
#556238
四、設函數f(x,y)= ,試問函數 f(x y, ) 在(0,0)是否連續?(15 分)
#556237
三、求線積分 ∫cex sin (2y )dx + 2ex cos(2y)dy , 其中曲線是沿著軌跡( t,t2 )從(0,0)到(1,1)的拋物線段。(15 分)
#556236
相關試卷
114年 - 114 公務升官等考試_薦任_物理:微積分#133273
114年 · #133273
114年 - 114 一般警察特種考試_三等_消防警察人員:微積分#127792
114年 · #127792
113年 - 113 普通考試_天文:微積分#121499
113年 · #121499
113年 - 113 一般警察特種考試_三等_消防警察人員:微積分#120498
113年 · #120498
112年 - 112 公務升官等考試_薦任_物理:微積分#117315
112年 · #117315
112年 - 112 普通考試_天文、氣象:微積分#115417
112年 · #115417
112年 - 112 一般警察特種考試_三等_消防警察人員:微積分#114953
112年 · #114953
112年 - 112 身心障礙特種考試_四等_氣象:微積分#113932
112年 · #113932
111年 - 111 普通考試_氣象:微積分#109324
111年 · #109324
111年 - 111 一般警察特種考試_三等_消防警察人員:微積分#108604
111年 · #108604