阿摩線上測驗
登入
首頁
>
微積分
> 99年 - 99年高等三級暨普通高三_氣象#27586
99年 - 99年高等三級暨普通高三_氣象#27586
科目:
微積分 |
年份:
99年 |
選擇題數:
0 |
申論題數:
9
試卷資訊
所屬科目:
微積分
選擇題 (0)
申論題 (9)
⑴求溫度的變化速率在點 P(2, -1, 2)和 P 到點(3,-3,3)的方向上。
⑵求在那一個方向 P 點的溫度增加最快?
⑶求在 P 點溫度增加最快的速率。
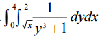
【已刪除】二、求
。(10 分)
三、求f (x, y) = x
2
+ y
2
+ x
2
y + 4 在集合D = {(x, y) | |x|≤1, |y| 1}的絕對極大值和絕對極小值 。(10 分)
【已刪除】四、求x
2
y"-5xy'+ 8y = 2 ln(x); y(0) =
, y(e) = e
2
-e
4
+
的解。(15 分)
⑴求滿足 F =∇f 的函數 f。
⑵求∫
C
F·dr。
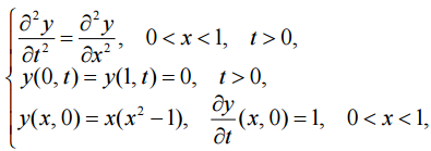
【已刪除】六、用分離變數法求
的解。(30 分)
相關試卷
114年 - 114 公務升官等考試_薦任_物理:微積分#133273
114年 · #133273
114年 - 114 一般警察特種考試_三等_消防警察人員:微積分#127792
114年 · #127792
113年 - 113 普通考試_天文:微積分#121499
113年 · #121499
113年 - 113 一般警察特種考試_三等_消防警察人員:微積分#120498
113年 · #120498
112年 - 112 公務升官等考試_薦任_物理:微積分#117315
112年 · #117315
112年 - 112 普通考試_天文、氣象:微積分#115417
112年 · #115417
112年 - 112 一般警察特種考試_三等_消防警察人員:微積分#114953
112年 · #114953
112年 - 112 身心障礙特種考試_四等_氣象:微積分#113932
112年 · #113932
111年 - 111 普通考試_氣象:微積分#109324
111年 · #109324
111年 - 111 一般警察特種考試_三等_消防警察人員:微積分#108604
111年 · #108604