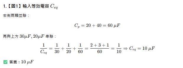
1.如【圖 1】所示,輸入點等效電容 Ceq 為_____微法拉(μF)
詳解 (共 3 筆)
詳解

詳解
72uF
詳解
10