阿摩線上測驗
登入
首頁
>
教甄◆數學
> 102年 - 102年屏東縣國小教師甄試數學試題#18195
102年 - 102年屏東縣國小教師甄試數學試題#18195
科目:
教甄◆數學 |
年份:
102年 |
選擇題數:
25 |
申論題數:
0
試卷資訊
所屬科目:
教甄◆數學
選擇題 (25)
1. 將 20 個拾圓硬幣全部分給甲、乙、丙三人,但限制每人分得的數量不可超過 9 個,共有幾種不同的分法? (A) 18 (B) 25 (C) 34 (D) 36
2. 在座標平面上,若 P(4,6),Q(−1,x),R(y,19),S(−4, − 2)四點共線,則 x=? (A) -1 (B) 1 (C) 2 (D) 3
3. 圓 O 的 75°弧長與圓 R 的 45°弧長相等,則圓 O 的面積:圓 R 的面積=? (A) 5:3 (B) 3:5 (C) 9:25 (D) 25:9
4. 有 7 個自然數,其平均數,中位數,唯一的眾數及全距都是 7,則這 7 個自然數中,最小的數不可能為下列哪一個? (A) 2 (B) 4 (C) 5 (D) 6
5. 一組由若干個自然數所組成的數列,已知其算術平均數是 20,其唯一之最大者為 48,不含最大者之其餘各數的算術平均數是 16。此一 數列共有幾個數? (A) 6 (B) 8 (C) 10 (D) 12
6. 已知直角 ABC的面積是 30cm
2
,周長是 40cm ,其斜邊上的高是多少cm? (A) 60/37 (B) 120/37 (C) 37/4 (D) 37/2
7. 在 6 到 20 之間任選兩個質數,先將它們相乘,再加上這兩個質數,則下列哪一個數可以合乎上述運算之結果? (A) 69 (B) 97 (C) 251 (D) 482
8. 在一個裝著 400 顆球的大箱子中,75%是黃球,其餘是白球。欲使白球的數量佔 40%,必須從箱子中拿走幾顆黃球? (A) 60 (B) 100 (C) 125 (D) 150
9. 在 1、5、9、13、17、21、25、29 等 8 個數中任取相異四數相加,其所有可能出現的和數有幾種? (A) 17 (B) 19 (C) 21 (D) 23
10.一種代幣的遊戲,其玩法規則如下:每回持有最多代幣者必須先分給其他每一位參與遊戲者一枚代幣,再放兩枚代幣於回收桶中;當出現 有一位遊戲參與者沒有代幣時,則遊戲即宣告結束。若甲、乙、丙三人玩此遊戲,在遊戲開始時依序分別持有 14、13、12 枚代幣,則此 一遊戲從開始到結束,共進行了幾回? (A) 13 (B) 14 (C) 15 (D) 16
11.若圓 O 之內接正三角形之面積為
平方公尺,則圓 O 之內接正方形的面積是多少平方公尺?
12.NBA 某一球隊在一場比賽中共得到 103 分,其中投進 3 分球的得分恰與投進 2 分球的得分相同,而罰球投進 1 分的球數比 3 分球投進的 球數多 5 球。此一籃球隊共投進幾個 2 分球? (A) 14 (B) 19 (C) 21 (D) 22
13.在四個頂點座標為(−2¸2)、(−2¸0)、(3¸0)及(3¸2)的四邊形內部隨機指出一點(x¸y),則 x≤y 的機率是多少? (A) 1 / 5 (B) 2 / 5 (C) 1 / 2 (D) 3 / 5
14.選出經過一系列的列運算後可以化成
的矩陣﹕
15.設直線 L 的斜率為 m﹐L 與 x 軸正向的夾角為 Θ﹐則下列何值和 m 相等﹖ (A) sinΘ (B) cosΘ (C) tanΘ (D) - cosΘ
16.下圖中的三角形區域,其三邊的直線方程式分別為 x + 2y = 1,3x + y = 8,2x - y = - 3,則三角形區域(含邊界)可用下列哪一組 不等式表示﹖
(A) x + 2y ≧ 1,3x + y ≧ 8,2x - y ≧ - 3 (B) x + 2y
1,3x + y ≧ 8,2x - y ≧ - 3 (C) x + 2y ≧ 1,3x + y
8,2x - y ≧ - 3 (D) x + 2y ≧ 1,3x + y ≧ 8,2x - y
- 3
17.下列選項中何者的值最小﹖ (A) 2sin20°cos20° (B) cos
2
35° - sin
2
35° (C) 2cos
2
40° - 1 (D) 2sin
2
70° - 1
18.如圖,哪一選項中的向量與另兩個向量
的和等於零向量﹖
19.數線上,O 為原點,A 點的坐標為 a,B 點的坐標為 b,若已知 a + b < 0,a - b > 0,ab > 0,則 O,A,B 三點在數線上的位置由左到 右依序為 (A) O,B,A (B) A,O,B (C) B,A,O (D) A,B,O
20.設 f(x)為四次實係數多項式,且 f(x)的一些取值如下表所示﹕有關方程式 f(x) = 0 的 4 個根所在的數系,選出正確的選項﹕
(A) 4 實根 (B) 3 實根 1 虛根 (C) 2 實根 2 虛根 (D) 1 實根 3 虛根
21.將 2 / 7 化為小數時,小數點後第 100 位數字為 (A) 2 (B) 5 (C) 7 (D) 4
22.已知等差數列 <an> = <100,97,94,…>,且 S
n
= a
1
+ a
2
+ … + a
n
,選出正確的選項﹕ (A) 公差為 3 (B) a
33
= 1 (C) 若 S
n
< 0,則 n 的最小值為 34 (D) 若 S
n
< 0,則 n 的最小值為 68
23.設 <a
n
> 是一個首項為 3,公比為 1 / 2 的等比數列,且S
8
= a
1
+ a
2
+ … + a
8
﹒選出正確的選項﹕ (A) 3 < S
8
< 4 (B) 4 < S
8
< 5 (C) 5 < S
8
< 6 (D) 6 < S
8
< 7
24.某班數學抽考的成績不太理想,數學老師決定將每人的原始成績取平方根後再乘以 10 作為正式紀錄的成績。已知班上共有 50 名學生, 調整後的平均成績為 65 分,標準差為 15 分﹔試問這 50 位同學未調整前的平均成績 M 介於哪兩個連續正整數之間﹖ (A) 40 ≦ M < 41 (B) 41 ≦ M < 42 (C) 42 ≦ M < 43 (D) 44 ≦ M < 45
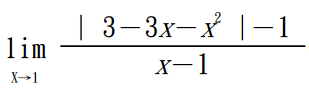
25.問下列有關極限
的敘述何者正確? (A) 極限不存在 (B) 極限為 0 (C) 極限為 1 (D) 極限為 5
申論題 (0)
相關試卷
114年 - 114 國立臺灣藝術大學教育學程招生考試_綜合學科:數學#137131
114年 · #137131
114年 - 114 高雄市市立國民小學教師聯合甄選-專長類-普通科目試題:數學#131662
114年 · #131662
114年 - 114 澎湖縣國民小學暨附設幼兒園教師/代理教師甄選試題:數學#131655
114年 · #131655
114年 - 114 文藻外語大學師資培育中心__國民小學教師教育學程新生甄選試題:學科基本知識-數學#130715
114年 · #130715
114年 - 114-1 臺北市立復興高級中學_專任教師甄選試題:數學科#129383
114年 · #129383
114年 - 114-2 新竹市國民中學教師聯合甄選初試試題:數學科#128201
114年 · #128201
114年 - 114 臺南市市立國民中學_正式教師聯合甄選試題:數學專門科目#128066
114年 · #128066
114年 - 114 桃園市國民中學新進教師聯合甄選試題:數學科#127820
114年 · #127820
114年 - 114-2 國立嘉義高級中學_教師甄選:數學科#127613
114年 · #127613
114年 - 114 中區縣市政府教師甄選策略聯盟:國小數學科#127528
114年 · #127528