所屬科目:高中指考◆數學甲
2. 可化簡為 (A)sinθ(B)cosθ(C)tanθ(D)cotθ
3.令 表複數z的共軛複數。在複數平面上,所有滿足方程式的複數z ,會形成下列哪種的圖形? (A)一點 (B)一圓 (C)一直線 (D)兩直線
4.設f(x)=x2+a(1-x)2 為一實係數多項式函數, 為常數。下列敘述何者正確: (A)不論a是何值, f(x)的函數圖形都不可能是直線。 (B)不論a是何值,若 f(x)有極值,則極值都等於a 。(註:極大值與極小值統稱極值) (C)0有可能是 f(x)的極大值。 (D)若a≠0,則f(x)=0無重根。
5.如圖, ABCD是邊長為1的正方形,在 AB、BC 、CD 、DA 四邊上依序任取一點 P、Q 、R 、S (皆非頂點)。若PQRS是長方形但不是正方形,下列敘述何者正確:(A)△SAP 與△PBQ 相似。(B) △SAP和△QCR 全等。 (C)PB=QB 。(D) △PBQ的最大可能面積為 。
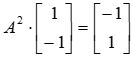
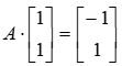
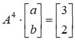
8. A是2×2方陣,設A2=A●A ,A3=A●A●A ,以此類推。已知,,若有 a,b使得,下列敘述何者正確: (A)a=-3。 (B)b=2 。 (C)。 (D) A是一旋轉方陣。
A.全班男女生共51人,票選畢業旅行的目的地,每人限投一票,結果如右表。現以簡單隨機抽樣,抽出兩人,若這兩人都是女生,則這兩人都想去墾丁的機率是0.__⑩⑪__(以四捨五入取到小數兩位)。
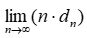
B.考慮雙曲線y2-x2=1圖形的上半部(如右圖),取此雙曲線上x坐標為n的點與漸近線y=x的距離,記為dn ,其中n為正整數。則=0.__⑫⑬__(以四捨五入取到小數兩位)