阿摩線上測驗
登入
首頁
>
教甄◆數學
> 101年 - 嘉義市 101 學年度國民小學專任教師聯合甄選 #21197
101年 - 嘉義市 101 學年度國民小學專任教師聯合甄選 #21197
科目:
教甄◆數學 |
年份:
101年 |
選擇題數:
30 |
申論題數:
0
試卷資訊
所屬科目:
教甄◆數學
選擇題 (30)
1. ( ) 設
,則 y 可化簡為何? (A) 2sin
(B) 2cos
(C) 2 (D) cos
sin
2. ( )
可化簡為何? (A
(B)
(C) 2log5 (D)
3. ( )平面上六點
,若 △ABC 的面積為 2,則 △PQR 的面積為何? (A) 20 (B) 22 (C) 4 (D) 26。
4. ( ) 已知 P(1, -1,2) 、
,則點 P 關於 L 的對稱點坐標為何? (A) (2,1,4) (B) (2, -1, -4) (C) (-3,3,6) (D) (3,3,6) 。
5. ( )試問坐標平面上共有幾條直線,使得點 O(0,0) 到此直線之距離為 1,且點 P(3,4) 到此直線之距離 為 4。 (A) 1 條 (B) 2 條 (C) 3 條 (D) 4 條。
6. ( )假設 x 為實數,求函數
的最大值為何? (A) 4 (B) 5 (C) 6 (D)7
7. ( ) 假設數列
是由正數所組成的等比數列且公比 r = 3 。若
,求
之值為何? (A) 3
10
(B) 3
16
(C) 3
20
D) 3
24
。
8. ( ) 若直線 y= mx + 5 與 2 |x| +3| y| =6 之圖形恰有一個交點,則 |m| 為何? (A) 5/6 (B) 5/4 (C) 5/3 (D) 5 /2 。
9. ( ) 設 x 為整數且滿足不等式
,則 x 有幾個? (A) 3 (B) 4 (C) 5 (D) 6 。
10. ( )甲是一隻長 1.6 ×10
-5
公尺的微生物,乙是一隻長 80 奈米的病毒,已知一奈米是十億分之一公尺, 試問甲的長度是乙的幾倍? (A) 2000 倍 (B) 200 倍 (C) 20 倍 (D) 2 倍。
11. ( )
,則? (A) a > b > c > d (B) a = b = c = d (C) a < b < c < d (D) a = d > b = c
12. ( )如右圖,ABCD、CDEF、EFGH 均是邊長為 1 的正方形, BD = x,BE = y,BH = z ,下列有關 x、y、 z 的關係何者正確?
(A) x + y = z (B) xy = z (C) x
2
+ y
2
= z
2
(D) 1/ x+1/ y = 1/z
13. ( )有關四邊形的敘述,下列何者正確?
甲生:長方形的對角線互相平分
乙生:菱形的對邊平行且等長
丙生:等腰梯形的對角線互相垂直
丁生:正方形的面積等於兩條對角線長度相乘後再除以 2
戊生:箏形的兩雙對角相等
己生:平行四邊形的兩對角線等長
以上為六位學生有關四邊形的敘述,求正確的共有幾位? (A) 2 位 (B) 3 位 (C) 4 位 (D) 5 位。
14. ( )梯形 ABCD 中,
, AD = 12,AB=13,CD = 8, A 到 BC 的距離是 AE ,則 AE 為?
(A) 20 (B) 16 (C) 12 (D) 8 。
15. ( ) 下列 4 個圖中,直線的方程式 y = ax + b ,拋物線的方程式 y = ax
2
+ b ,其中只有一個圖可能正確, 這個可能正確的圖是? (A)
(B)
(C)
(D)
16. ( )滿足方程式
的正整數數對(a,b)共有幾組? (A) 6 (B) 8 (C) 12 (D) 16 。
17. ( ) 已知
可整除多項式
,則 b+ c 之值為多少? (A) 1 (B) 2 (C) 3 (D) 4 。
18. ( )從 1 到 1000 的一千個自然數中,刪去 5 的倍數,並刪去 7 的倍數,若剩下 m 個數,則 m 的值 為何? (A) 658 (B) 686 (C) 772 (D) 830 。
19. ( )若 n 和2520/n 均為自然數,則滿足此條件的 n 共有幾個? (A) 6 (B) 24 (C) 36 (D) 48 。
20. ( )某班段考的數學成績不理想,平均分數為 55 分,標準差為 20 分,因此老師決定將每人的成績 乘以 0.8 後,再加 25 分,請問經此調整後,平均分數和標準差各為何? (A) 平均分數為 69,標準差為 16 (B) 平均分數為 80,標準差為 25 (C) 平均分數為 69,標準差為 25 (D) 平均分數為 80,標準差為 16。
21. ( )用 120 公尺長的圍籬圍成長方形花園的三邊,剩下的一邊不圍,則所能圍出的花園的最大面積 是多少平方公尺? (A) 2400 (B) 1800 (C) 1750 (D) 1600。
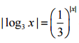
22. ( )方程式
共有幾個實數解? (A) 1 (B) 2 (C) 3 (D) 4 。
23. ( )一整數的立方被 7 除的餘數有幾種可能的情形? (A) 5 (B) 4 (C) 3 (D) 2。
24. ( )以 0、1、1、1、2、2、3、4 八個數字組成八位數,請問共可組成多少個不同的八位數? (A) 5040 (B) 3360 (C) 2940 (D) 420。
25. ( )
公尺的繩子,每
公尺剪成一段,盡量剪完後,剩下的繩子長為多少公尺? (A) 0 (B) 1/3 (C) 1/4 (D) 1/5 。
26. ( ) 設
,則當 x 為多少時, f (x ) 有最小值? (A) 11 (B) 12 (C) 13 (D) 14。
27. ( ) 已知 a、b 為實數且 i =
,若
=a+bi,則 b 之值為何? (A) -√3 (B) 0 (C) 1/2 (D) √3 /2 。
28. ( )使得
為完全平方數的最小正整數 n 是多少? (A) 130 (B) 385 (C) 1001 (D) 1430 。
29. ( )一隻頑皮的猴子爬一個 10 階的梯子,它每次可以上爬 1 階、或上躍 2 階、或上躍 3 階。它從 地面到最上面的一階,一共有多少種可能的方法? (A) 274 種 (B) 254 種 (C) 234 種 (D) 214 種。
30. ( )以圓內接正 20 邊形的 20 個頂點作為三角形的頂點,共可作成多少個直角三角形? (A) 180 (B) 184 (C) 190 (D) 200 。
申論題 (0)
相關試卷
115年 - 115 桃園市立陽明高中_教師甄選試題:數學科#139018
115年 · #139018
115年 - 115 國立高科實驗高級中等學校_專任教師甄選_國小部:普通科(數學)#138942
115年 · #138942
115年 - 115-1 國立彰化女子高級中學_教師甄選試題:數學科#138761
115年 · #138761
115年 - 115-1 臺中市立文華高級中等學校_教師甄選專業知能試題:數學科#138727
115年 · #138727
115年 - 115-2 台北市立建國高級中學_正式教師甄選試題:數學科#138704
115年 · #138704
115年 - 115-1 國立嘉科實驗高級中學_教師甄選試題_國中部:數學科#138695
115年 · #138695
115年 - 115-1 臺北市立中正高級中學_專任教師甄選初試試題:數學科#138690
115年 · #138690
115年 - 115-1 國立羅東高中_教師甄選初試︰數學科#138675
115年 · #138675
115年 - 115-1 臺南市立沙崙國際高級中學高中部_教師甄選試題:數學科#138673
115年 · #138673
115年 - 115-1 國立蘭陽女子高級中學_教師甄選試題︰數學科#138666
115年 · #138666