阿摩線上測驗
登入
首頁
>
警專◆乙組數學
> 102年 - 102 臺灣警察專科學校_專科警員班第 32 期正期學生組:乙組數學#19041
102年 - 102 臺灣警察專科學校_專科警員班第 32 期正期學生組:乙組數學#19041
科目:
警專◆乙組數學 |
年份:
102年 |
選擇題數:
40 |
申論題數:
0
試卷資訊
所屬科目:
警專◆乙組數學
選擇題 (40)
1. 已知 <a
n
> 為等差數列,且 a
7
=1,則
= (A) 10 (B) 11 (C) 12 (D) 13 。
2. 化簡 2x7
4
-13x7
3
+7
2
-54x7-16= (A) -2 (B) -1 (C) 1 (D) 2 。
3. 投擲兩個公正的六面骰子,則出現點數和為 9 的機率為 (A) 1 / 6 (B) 1 / 9 (C) 1 / 12 (D) 1 / 18 。
4. 已知 a ﹐–6﹐12﹐…﹐–384 是一個等比數列(首項為a ),則此數列共有幾項? (A) 8 (B) 9 (C) 10 (D) 11 。
5. 已知log5 0.6990 = ,將 5
32
展開後可得到n 位數,則n = (A) 22 (B) 23 (C) 24 (D) 25 。
6. 已知整係數多項式 f(x)=x
4
+ax
3
+bx
2
+cx+9 可分解成四個相異整係數一次因式的乘積,則 a= (A) 0 (B) -1 (C) 1 (D) 3 。
7. 四封不同的信,投入 A、B、C、D、E 五個不同的郵筒中,且每個郵筒最多一封,則有幾種投法? (A) 4! (B) 5! (C) 5
4
(D) 4
5
。
8. 請選出正確敘述的選項: (A) log 21 = (log3)(log 7) (B) 3
10
=3
1
+3
9
(C) log
2
(3
2
)=(log
2
3)
2
(D) log
3
2=log
9
4 。
9. 在 xy平面上,點(cos 2013° ,sin 2013° ) 位於哪一個象限? (A) 第一象限 (B) 第二象限 (C) 第三象限 (D) 第四象限 。
10. 方程式 x-2013+log
2
x=0有n 個實數解,則n = (A) 0 (B) 1 (C) 2 (D) 3 。
11. 滿足不等式log
3
(x-1)<1 之整數 x 值共有幾個? (A) 0 (B) 1 (C) 2 (D) 3 。
12. 已知在 1 至 1000 的正整數中,有n 個數是 6 的倍數但不是 5 的倍數,則n = (A) 33 (B) 133 (C) 166 (D) 199 。
13. 在 xy坐標平面上,若 A(cos13° ,sin13° ) 、B(cos 73° ,sin 73° ) ,則 AB 的長為
(D) 1 。
14. 已知袋中有7 個白球、n 個黑球。若從袋中一次取出兩個球同為白球的機率是 7 /22 ,則n = (A) 5 (B) 6 (C) 7 (D) 8
15. 根據長期統計數據,6 月份某地區的平均氣溫是攝氏 25 度,標準差是攝氏 3.5 度。已知當攝氏溫度為 x 度 時,華氏溫度為
度。若該月份該地區的平均氣溫是華氏a 度,標準差是華氏b 度。則a + b= (A) 51.3 (B) 77 (C) 83.3 (D) 115.3 。
16. 已知在空間中的四點(0,0,0)、( k, -4,7) 、( -1,1, - 3) 、(3, -3,4) 共平面,則實數k = (A) 1 (B) 2 (C) 3 (D) 4 。
17. 若 x, y 均為實數,且滿足條件:4x+3y ≧0,2x-y≦0,x+2y≦5,則下列敘述何者錯誤? (A) 4 x+3y的最小值為 0 (B) 4x+3y 的最大值為 10 (C) 3x + y 的最小值為 0 (D) 3x + y 的最大值為 5 。
18. 已知 sin Θ =2/√5 ,且 π/2<Θ <π ,則
19. 化簡無窮級數
之值,可得下列哪個選項? (A) 3 / 2 (B) 5 / 2 (C) 5 / 3 (D) 不存在 。
20. 有一組數據 X 進行標準化後,得到新數據 X',則下列選項何者錯誤? (A) X'的平均數為 0 (B) X'的標準差為 1 (C) X'的變異數為 1 (D) X'的全距為 1 。
21. 將矩陣
進行數次的列運算後,得到矩陣
,則a+b+c = (A) 4 (B) 5 (C) 6 (D) 7 。
22. 已知
,則下列選項何者正確? (A) a>b>c (B) c>a>b(C) a>c>b(D) c>b>a。
23. 甲、乙兩人打靶,根據以前的統計資料顯示,甲、乙兩人命中率分別為 3/4 與 4/ 5 。若兩人的打靶互 不影響,且每人對同一靶面各射擊一發,則此靶面恰中一發的機率為: (A) 3/4 (B) 4/5 (C) 1/20 (D) 7/20 。
24. 有三個村莊兩兩相距 3、5、7 公里,已知有一口井到三村莊等距,則此井到其中一個村莊的距離為幾公里?
25. 已知a 為整數,且y=x
2
-(a+1)x+(a+1) 的圖形恆在 x 軸的上方,則a 有幾個整數解? (A) 1 (B) 2 (C) 3 (D) 4 。
26. 已知正三角形 ABC 之邊長為 2﹐且重心為 G﹐則
= (A) 2 (B) 1 (C) -2 (D) -1 。
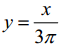
27. 在 xy坐標平面上, y = sin x 與
的圖形有幾個相異的交點? (A) 4 (B) 5 (C) 6 (D) 7 。第 3 頁,共 4 頁
28. 若
,則b = (A) 8 (B) 16 (C) -1 (D) -2 。
29. 在 xy坐標平面中,點P( -2,2) 到圓C : (x-2)
2
+(y+1)
2
=9的切線長為 (A) 3 (B) 4 (C) 5 (D) 6 。
30. 已知a b, 均為實數,且
,則數對(a,b) 為 (A) (0,6) (B)(0,0) (C) (6,0) (D) (6,6)
複選題
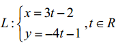
31. 在 xy坐標平面上,直線
,則下列哪些選項是正確的? (A) 點( -5,3) 在直線L上 (B) 直線L的法向量為(3, -4) (C) 直線L的方向向量為(3, - 4) (D) 直線L的斜率為 4/3 (E) L的直線方程是可以表示成3 x-4y+2=0。
複選題
32. 已知f(x)=2013
x
、 g(x)=log
2013
x ,則下列哪些選項是正確的? (A) f ( g(2013)) 1 = (B) g ( f(2013)) = 2013(C)
(D) g (2013)- g(2000) =g(15)-g (2) (E) 在 xy平面中, y = f (x) 與 y = g ( x ) 的圖形對稱於 y = x 的直線 。
複選題
33. 若 A、B 均為二階轉移矩陣,I 為二階單位矩陣,則下列哪些選項是正確的? (A) A必有反方陣 (B) A + B 必為轉移矩陣 (C) AB 必為轉移矩陣 (D) A
2
必為轉移矩陣 (E) det (2A)= 4det A 。
複選題
34. 某地區有甲、乙、丙三家電信業者,據調查顯示: 甲業者每年保留 3/5 的顧客,而轉向乙業者與丙業者的使用戶,分別占 1/5 與 1/5 ; 乙業者每年保留 3/5 的顧客,而轉向甲業者與丙業者的使用戶,分別占 1/5 與 1/5 ; 丙業者每年保留 3/5 的顧客,而轉向甲業者與乙業者的使用戶,分別占 1/5 與 1/5 ; 已知最後電信市場會趨於穩定,則達穩定狀態時,甲、乙、丙三家電信業者的佔有率分別為a 、b 、c。 則下列哪些選項是正確的? (A) 轉移矩陣為
(B) a =1/6 (C) b =1/3 (D) c =1/4 (E) a = b=c 。
複選題
35. 若
,則下列哪些選項是正確的? (A) N 是完全平方數 (B)
(C) N 是 3 的倍數 (D) N 是 19 的倍數 (E) N 是 5 位數 。
複選題
36. 已知兩筆數據 X 與 Y 的相關係數為 r,Y 對 X 的回歸直線(最佳直線)的斜率為m。若 X '=5X+2 、Y'=3Y-1 , 且 X'與Y' 的相關係數r' ,Y' 對 X' 的回歸直線(最佳直線)的斜率為m',則下列哪些選項是正確的? (A)-1≦r≦1 (B) -1≦m'≦1 (C)r=r' (D) m=m' (E)
複選題
37. 已知 f(x)=ax
3
+bx
2
+cx+d 為實係數三次多項式,則下列選項何者正確? (A) 若8a+4b+2c+d=0 ,則 x - 2為 f (x ) 的因式 (B) 若 f(1+i)=0 ,則 y = f( x ) 的圖形與 x 軸只有一個交點 (C) 若 f (2+ 3i ) =4+5i ,則 f (2- 3i )= 4-5i (D) 若方程式 f (x) =0 在 1,2 之間有實數解,則 f (1) f(2) < 0 (E) 方程式 f (x) =0 必有實數解 。
複選題
38. 某校高三有學生 1000 人,第一次段考全校平均 52 分,樣本標準差為 8 分。已知成績呈現常態分布, 則下列敘述何者正確?(已知在常態分布的資料中,x 為平均數,s 為標準差,則區間(, ) x - sx s + 內約有68% 個資料,區間( 2, 2) x - + sx s 內約有95%個資料,區間( 3, 3) x - + sx s 內約有99.7%個資料) (A) 全校不及格(低於 60 分)的人數約有人 840 人 (B) 若甲生考 68 分,大概在全校排前 25 名 (C) 若乙生考 80 分,大概在全校排前 3 名 (D) 全校排名約 840 名的成績大概是 44 分 (E) 全校排名約 160 名的成績大概是 60 分 。
複選題
39. 設實係數多項式 2 f () 2 x x ax b = ++ ,已知對任意實數t, f (2 ) (2 ) + tf t = - 恆成立,則下列選項何者正確? (A) x = 2是曲線 y = f x( ) 的對稱軸 (B) f (1) (5)> f (C) f ( 1) (5) - = f (D) a = -8 (E) f ( ) x 的最小值為 f (2) 。
複選題
40. 連續投擲一個公正六面骰子 12 次,若隨機變數 X 表示出現點數為 6 的次數,則下列選項何者正確? (A) X 的期望值為 1 (B) X 的期望值為 2 (C) X 的變異數為 5 3 (D) X 的變異數為 6 (E) X 的標準差為 5 3 。
申論題 (0)
相關試卷
114年 - 114 臺灣警察專科學校_專科警員班第 44 期正期學生組新生入學考試試題:數學科(乙組)#129086
114年 · #129086
113年 - 113 臺灣警察專科學校_專科警員班第 43 期正期學生組新生入學考試:乙組數學科#124570
113年 · #124570
112年 - 112 臺灣警察專科學校_專科警員班第42期正期學生組新生入學考試:數學科(乙組)#116875
112年 · #116875
111年 - 111 臺灣警察專科學校專科警員班第 41 期正期學生組新生入學考試:數學科(乙組)#110139
111年 · #110139
111年 - 111 臺灣警察專科學校_專科警員班第 33 期正期學生組:乙組數學#18934
111年 · #18934
110年 - 110 臺灣警察專科學校_專科警員班第 40 期正期學生組:乙組數學#114969
110年 · #114969
109年 - 109 臺灣警察專科學校_專科警員班第 39 期正期學生組:乙組數學#85675
109年 · #85675
108年 - 108 臺灣警察專科學校_專科警員班第 38 期正期學生組:乙組數學#79161
108年 · #79161
107年 - 107 臺灣警察專科學校專科警員班37期正期學生組新生入學考試試題:乙組數學科#98834
107年 · #98834
106年 - 106 臺灣警察專科學校警員班36期新生入學考試:乙組數學科#98988
106年 · #98988