所屬科目:食品化學
5. 脂肪酸中碳氫鍵斷裂(答案選項中方框處)所需能量最低者為: (A) (B) (C) (D)
8. 下列關於油脂物理結構的敘述何者正確? (A) 油脂的脂肪酸能排列成晶體構造而懸浮於液體油中 (B) 油脂β型結晶,其結晶體積最大,密度最小 (C) 將固體油脂熔融後急速降溫固化,此時油脂晶體顆粒最小,熔點最低 (D) 油脂的組成複雜,因此結晶晶型構造不同而出現不同熔點;而純度高,僅含一種脂肪酸的油脂只會有一個熔點。
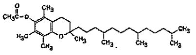
10. 下列何種物質具有轉換成維生素 A 的潛力? (A)(B)(C)(D)
VIII 請寫出 (1) D-fructose, (2) D-galactose, (3) isomaltose, (4) lactose, (5) raffinose 這五種糖的中文 (5%),用來與下列化學結構配對 (10%),並分別說明這五種糖的來源、性質(包含是否為還原糖?)與食品中應用 (10%)。