所屬科目:高中指考◆數學甲
1.向量(2,-1) 與下列哪一個向量之夾角(介於0° 與180° 之間)為最小? (A) (B) (C) (D) (E)
2.不透明箱中置有編號分別為 1、 2、3 、6 、8 的球各一顆。同時自箱中隨機取出三顆球,則此三球編號之和大於14的機率為下列哪一個選項? (A) (B) (C) (D) (E)
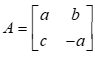
3.考慮矩陣 ,其中a 、b 、c 為實數且行列式detA=1 。試問行列式det(A-A-1) 之值為下列哪一個選項? (A)0 (B)1(C)2(D)4(E)16
4.設f(x)為實係數三次多項式,右圖所示為函數y=f(x)的圖形,其中(5,f(5))為反曲點。試問f(x)的導函數f'(x)可能為下列哪一個選項?(A)(x-5)2-1 (B)(x-5)2+1 (C)(x-5)2(D)-(x-5)2+1(E)-(x-5)2-1
5.將函數y=3sinx-cosx 、y=sin(2x)+3cos(2x) 、y=2sinx+2cosx 的圖形繪於同一坐標平面上,其與x軸的相關位置如下圖: 試問圖中的圖形y=f(x) 、y=g(x) 、y=h(x) 所代表的函數應為下列哪一個選項? (A) f(x)=3sinx-cosx、g(x)=sin(2x)+3cos(2x) 、h(x)=2sinx+2cosx (B) f(x)=3sinx-cosx、h(x)=sin(2x)+3cos(2x) 、g(x)=2sinx+2cosx (C)g(x)=3sinx-cosx 、f(x)=sin(2x)+3cos(2x) 、h(x)=2sinx+2cosx (D) g(x)=3sinx-cosx、h(x)=sin(2x)+3cos(2x) 、f(x)=2sinx+2cosx (E) h(x)=3sinx-cosx 、f(x)=sin(2x)+3cos(2x) 、g(x)=2sinx+2cosx
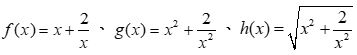
6.設a 、b 、c 分別為函數 在x為任意正實數時的最小值。試問下列哪些選項是正確的? (A)b=a2 (B) (C)f(x)+g(x) 在x為任意正實數時的最小值為a+b(D)g(x)+h(x)在x為任意正實數時的最小值為b+c
7.設a為一正實數且滿足。試問下列哪些選項是正確的? (A)a3=3 (B) (C)a>1 (D)
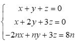
A.當n為正整數時,令x=an 、y=bn 、z=cn 為三元一次聯立方程組之唯一解, 則 。
C.在△ABC 中,已知,且其外接圓半徑為 ,則sin∠BAC=。(化成最簡分數)
D.一個抽獎活動依排隊順序抽獎,輪到抽獎的人有一次抽獎機會,抽獎方式為丟擲一枚公正銅板,正面為中獎,反面為沒中獎。獎品有三份,活動直到三份獎品都被抽中為止。則在排第四位的人可以抽獎的情況下,排第五位的人可以抽獎的條件機率為 。(化成最簡分數)