所屬科目:期貨法規與自律規範
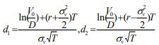
26. 在 Merton (1974)的模型中,利用公司股價來計算違約機率;期初公司股價為其中,V0 為期初公司資產價值,D 為期末應償還之公司債面額, N(.) 為標準常態累加機率密度函 數, ,r 為無風險利率,σv 為資產價值之波動度。以下何者代表公司違約之風險中立機率? (A)N (d1) (B)N (−d1) (C) N( d2 ) (D) N( −d2 )
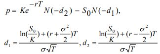
35. Black-Scholes 的股票賣權公式 欲以人工合成賣權的方式形成投資組合保險,應以何種方式操作? 當股價下跌時又應如何動態調 整持有部位? (A)以無風險利率借錢,並買入佔投資組合[1-N (d1 )]比率的股票; 當股價下跌時,加碼買進 (B)賣出佔投資組合[1-N (d1 )]比率的股票,並投資無風險性資產; 當股價下跌時,加碼賣出 (C)以無風險利率借錢,並買入佔投資組合 N( d1 ) 比率的股票; 當股價下跌時,加碼買進 (D)賣出佔投資組合N( d1)比率的股票,並投資無風險性資產; 當股價下跌時,加碼賣出
2. 一金融機構的指數選擇權投資組合如下所列:假設一可交易的選擇權其 delta 為 0.5,而 vega 為 0.8,無風險利率為 2%。 試問,應持有多少部位的上述可交易的選擇權以及九個月期的指數期貨,才可使得該機構之投資 組合同時達到 vega 中立及 delta 中立?(10 分)