所屬科目:期貨法規與自律規範
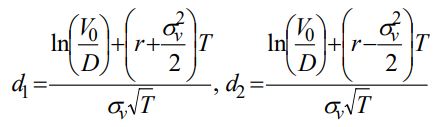
19. 在 Merton (1974)的模型中,利用公司股價來計算違約機率;期初公司股價為其中,V0 為期初公司資產價值,D 為期末應償還之公司債面額,N(.) 為標準常態累加機率密度函數,,r 為無風險利率,為資產價值之波動度。以下何者代表公司違約之風險中立機率? (A)N (d1) (B)N (-d1) (C)N (d2)(D)N (-d2)
21. Black-Scholes 的股票賣權公式欲以人工合成賣權的方式形成投資組合保險,應以何種方式操作?當股價下跌時又應如何動態調整 持有部位? (A)以無風險利率借錢,並買入佔投資組合N (d1)比率的股票;當股價下跌時,加碼買進 (B)賣出佔投資組合N (d1)比率的股票,並投資無風險性資產;當股價下跌時,加碼賣出 (C)以無風險利率借錢,並買入佔投資組合[1-N (d1)]比率的股票;當股價下跌時,加碼買進 (D)賣出佔投資組合[1-N (d1)]比率的股票,並投資無風險性資產;當股價下跌時,加碼賣出
32. 若期貨選擇權四個月後到期,標的期貨契約五個月後到期,目前期貨價格與選擇權履約價同為 7 元, 無風險利率為 10%,標的資產波動度為 16%,若出售 200 單位之歐式期貨買權,其 delta 約為多少?N(0.0525) = 0.5210, N(0.0462) = 0.5184 , (A)100 (B)105 (C) -100 (D) -105
2.假設一個三年期債券面額為$100,以連續複利計算之到期殖利率為 10%,每年有 8%的利息。請計算該債券之存續期間。根據存續期間計算並說明,當到期殖利率上升0.2%,債券價格的變化。(10 分)
3.一金融機構的指數選擇權投資組合如下所列: 假設一可交易的選擇權其 delta 為 0.8,而 vega 為 0.5,無風險利率為 2%。 試問,應持有多少部位的上述可交易的選擇權以及三個月期的指數期貨,才可使得該機構之投資組 合同時達到 vega 中立及 delta 中立?(10 分)