阿摩線上測驗
登入
首頁
>
微積分
> 102年 - 102年高等三級暨普通考高考三級_氣象#25587
102年 - 102年高等三級暨普通考高考三級_氣象#25587
科目:
微積分 |
年份:
102年 |
選擇題數:
0 |
申論題數:
18
試卷資訊
所屬科目:
微積分
選擇題 (0)
申論題 (18)
⑴A+ B
⑵A 在沿著B 所指向方向的投影量
⑶此兩向量構成之三角形的面積
⑷此兩向量的夾角
⑸繪出A −B 與A 和B 在空間中相對的幾何關係
⑴那一個向量場是保守的?也就是在兩點之間沿任意一條片段平滑(piecewise smooth) 曲線的線積分其結果不變?請解釋你是如何判斷的?
⑵請將保守的這個向量場分別沿路徑 1 與路徑 2 由(0, 0)積分到(3, 9),結果為何?是否合 乎⑴中不受路徑影響的描述?
⑶求出該保守向量場的位勢函數(potential function)。
⑷利用此位勢函數計算⑵中的線積分,其結果為何?
⑸利用 Green’s theorem 計算由路徑 1 與路徑 2 所圍成區域的面積。
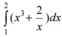
⑴ ln(1 + 2x)
【已刪除】⑵
【已刪除】⑴
【已刪除】⑵
【已刪除】⑴
【已刪除】⑵
六、證明: ∫∫∫ ∫∫ ∫∫∫ (∇f ⋅ F)dV = ( Ff ⋅ n)ds − f (∇ ⋅ F)dV 其中的三維積分是針對一封閉曲面所圍成的體積 V,二維的積分則是在此曲面上進 行的面積分,n 為曲面上的法向量。(10 分)
【已刪除】七、求出下列矩陣的反矩陣(inverse matrix),並驗證之(寫出計算過程)。(10 分)
相關試卷
114年 - 114 公務升官等考試_薦任_物理:微積分#133273
114年 · #133273
114年 - 114 一般警察特種考試_三等_消防警察人員:微積分#127792
114年 · #127792
113年 - 113 普通考試_天文:微積分#121499
113年 · #121499
113年 - 113 一般警察特種考試_三等_消防警察人員:微積分#120498
113年 · #120498
112年 - 112 公務升官等考試_薦任_物理:微積分#117315
112年 · #117315
112年 - 112 普通考試_天文、氣象:微積分#115417
112年 · #115417
112年 - 112 一般警察特種考試_三等_消防警察人員:微積分#114953
112年 · #114953
112年 - 112 身心障礙特種考試_四等_氣象:微積分#113932
112年 · #113932
111年 - 111 普通考試_氣象:微積分#109324
111年 · #109324
111年 - 111 一般警察特種考試_三等_消防警察人員:微積分#108604
111年 · #108604