所屬科目:教甄◆教育專業科目
1 下列哪種觀點強調在教師社群中的每位成員都能夠善用所長而扮演好團隊的領導者角色? (A)分佈式領導(B)火線領導(C)道德領導(D)互易型領導
2 某教師在處理班級學生之間的霸凌事件時,採取針對加害者公告其不當行為於教室布告欄的做法,屬於下列哪種懲罰哲學的思維? (A)報復性懲罰 (B)警戒性懲罰 (C)感化性懲罰 (D)迴向性懲罰
3 下列有關美國教育學者克伯屈(Kilpatrick)曾提出的「設計教學法」的步驟何者正確? (A)決定目的→擬定計劃→執行工作→評價結果 (B)擬定計劃→決定目的→執行工作→評價結果 (C)決定目的→擬定計劃→執行工作→成果發表 (D)決定目的→擬定計劃→作品產出→成果發表
4 某老師善於掌握教材內容中最特別的部分,進而規劃提問學生問題的依據來源,這是運用了心理學中的何種效應? (A)比馬龍效應 (B)閃光燈效應 (C)柴嘉泥效應 (D)萊斯托夫效應
5 依據學者 Coyle 等人提出 CLIL 的語言三角之雙語教學理論,某教師關注如何在課堂中促使學生針對所學內容更行深度學習的教學設計考量,於此屬於下列何種概念? (A)學習的語言(language of learning) (B)為了學習的語言(language for learning) (C)透過學習的語言(language through learning) (D)藉由學習的語言(language by learning)
6 小明原本上課喜歡舉手發言回應老師的問題,但老師最近很久沒有對小明這種行為給予正向的讚賞或肯定,以致小明越來越少發言了,請問這種情形可以下列哪個教育心理學的概念來解釋? (A)正增強(B)負增強(C)削弱(D)自然恢復
7 依據課程學者泰勒(Tyler)的看法,眾多學校教育目標可以透過哪兩種教育理論進行篩選,以適合該學校的校本課程發展? (A)教育哲學與學習心理學 (B)教育哲學與教育社會學 (C)教育社會學與多元文化主義(D)教育心理學與教育社會學
8 下列哪種班級經營的理論,鼓勵教師能堅定清楚的向學生表達需要及要求,並明定這些要求的行動,期望學生絕對服從,但絕不傷害學生的學習興趣? (A)果斷管教法 (B)邏輯後果法 (C)教學效能訓練(D)團體動力法
9 下列何者不是改善試題信度的有效方法? (A)增加預試的受測者 (B)增加試題 (C)刪除不良試題 (D)使用相關係數的校正公式
10 王老師統計全班期中考數學成績時發現,全班成績中的眾數大於算術平均數時,其測量分配的型態為? (A)常態分配型(B)右偏型(C)左偏型(D)M 型
11 依據湯林森(Tomlinson)對差異化教學的看法,下列何者「正確」? (A)源自於 70 年代的「個別化教學」 (B)主要採用同質性分組的方式 (C)教師也要理解學習成就高學生的需求 (D)主要涵蓋了學習目標、學習歷程、及學習結果的差異化
12 依據郭爾堡(Kohlberg)的看法,學生能表現出好男好女的樣子,以取悅於他人從而獲得稱讚,其屬於下列哪個道德發展階段? (A)處罰與服從導向 (B)相對功利導向 (C)人際關係和諧導向(D)法律與秩序導向
13 依據課程學者蓋聶(Gagne)對於學生五種學習結果的看法,其中著重「能使用符號或概念與學習中的環境互相作用,而不是只重複學習或使用一些事實或知識」為下列何者? (A)心智技能(B)認知策略(C)語文資訊(D)動作技能
14 依據班度拉(Bandura)的社會學習論觀點,下列何者有誤? (A)充分兼顧環境、個人、行為之間互動的三元學習論。 (B)學習來自觀察與模仿的楷模學習。 (C)象徵模仿主要訴求模仿他人行為背後的意義。 (D)觀察學習可分為注意、反應、互動、回顧等四個歷程。
15 教師在課堂中的身教與言教屬於下列何種潛在課程的型態? (A)有意善意的設計(B)有意惡意的設計 (C)無意善意的設計(D)無意惡意的設計
16 下列有關課程學者許瓦布(Schwab)對於課程慎思考量的四個要素何者正確? (A)教師、學生、教材、環境 (B)課程、教學、評量、班級經營 (C)行政、教學、評量、師生溝通 (D)教師、學生、家長、學校行政端
17 近來新興的 STEM 或 STEAM 課程,屬於下列何種課程組織的類型? (A)相關課程(B)融合課程(C)廣域課程(D)活動課程
18 某老師同時擔任協同行政及帶班導師,請問他可能面臨怎樣的問題? (A)角色內衝突(B)角色間衝突(C)角色外衝突(D)以上皆非
19 依據教育部發布的《永續發展目標 SDGs 教育手冊─台灣指南》的建議,其中的「消除貧窮」適合搭配我國十二年國民基本教育課程哪項 19 議題進行課程規劃與設計? (A)品德教育(B)家庭教育(C)法治關係(D)美感教育
20 史金納(B.F. Skinner)的操作制約理論強調以增強和懲罰來改變行為。當學生表現良好時給予獎勵,使該行為再次出現的機率增加, 這種做法稱為什麼? (A) 正增強(Positive Reinforcement) (B) 負增強(Negative Reinforcement) (C) 正懲罰(Positive Punishment) (D) 負懲罰(Negative Punishment)
21 班度拉(Bandura)的社會學習理論指出,學習來自直接經驗,也能藉由觀察他人的行為來學習。根據該理論,觀察學習的過程必須包含哪四個主要階段? (A) 刺激→反應→增強→類化 (B) 注意→保持→再現→動機 (C) 感知→理解→記憶→應用 (D) 接觸→模仿→練習→精熟
22 在課程設計理論中,強調學習內容應該與學生的真實生活情境密切相關,讓學生能夠將所學應用於實際生活中解決問題。這種設計取向的課程最重視培養學生的哪一種能力? (A) 學習遷移能力 (B) 記憶保持能力 (C) 邏輯推理能力 (D) 模仿學習能力
23布魯納(Jerome Bruner)在其課程理論中提出「螺旋式課程」(Spiral Curriculum)的設計概念,主張學習者可以在不同的發展階段學習相同的基本概念,但每次學習的深度和複雜程度會逐漸提升。根據此理論觀點,螺旋式課程設計最強調下列哪一項教學原則?(A) 學習內容應該依據學科邏輯進行線性排列,避免重複教學 。(B) 任何概念都可以透過適當的表徵方式教給任何年齡的學習者 。(C) 教學應該等待學習者認知發展成熟後才引入抽象概念 。(D) 課程內容必須與學習者的生活經驗和興趣密切結合。
24 課程發展過程中,「需求評估」(Needs Assessment)是決定課程內容和目標的重要步驟。當學校進行課程改革時,需求評估主要是為了分析哪兩者之間的差距? (A) 教師期望與學生能力之間的差距。 (B) 現有課程內容與國家標準之間的差距。 (C) 學習者目前狀況與理想目標之間的差距。 (D) 學校資源與課程實施需求之間的差距。
25 根據庫寧(Jacob Kounin)的班級經營研究,有效的班級管理者具 備「眼觀四面」(withitness)的能力。這種能力在班級經營實務中最主要體現在哪一個層面? (A) 能夠同時處理多項教學任務,展現優秀的時間管理能力 。 (B) 熟悉每位學生的學習狀況,提供個別化的學習指導 。 (C) 善用多媒體教學工具,創造豐富多元的學習環境 。 (D) 準確掌握班級動態,及時覺察並處理潛在的行為問題。
26 根據《學生輔導法》的規定,學校輔導工作應採取三級輔導機制。下列何者屬於「一級輔導」(初級預防)的主要工作內容? (A) 對全體學生實施發展性輔導課程和預防性輔導活動 。 (B) 針對高關懷學生進行個別輔導和諮商 。 (C) 轉介專業心理師或精神科醫師進行治療 。 (D) 召開個案研討會議制定特殊輔導計畫。
27 午休時間,李老師發現小明和小華因為座位問題發生爭執,兩人情緒都很激動。李老師立即走過去說:「我看到你們都很生氣,大家先各自冷靜一下,等等再來討論這個問題。」李老師的處理方式主要運用了哪一種衝突處理策略? (A) 立即仲裁,快速解決爭議避免擴大影響。 (B) 轉移注意,引導學生關注其他活動事務。 (C) 冷卻降溫,讓雙方情緒穩定後再進行溝通。 (D) 個別約談,分別了解雙方的立場和想法。
28 初任教師小王想了解自己的權利和義務。根據《教師法》的規定,下列何者是教師應盡的基本義務? (A) 積極參與學校課程發展和教學相關事務的討論 。 (B) 遵守聘約規定,維護校譽並盡職責 。 (C) 享有完整的寒暑假期間和特別休假 。 (D) 獲得學校提供的教學設備和行政支援。
29 教師小陳發現學校正在推動「學校本位管理」,校長經常強調要建立學習型組織,並鼓勵教師參與學校決策。在學校本位管理的理念下,教師參與校務決策的主要管道和機制通常包括哪些層面? (A) 僅限於課程委員會的教學相關事務決策參與。 (B) 主要透過教師會組織表達意見而不直接參與決策。 (C) 參與各種校務會議、委員會及專業學習社群運作。 (D) 主要由校長指定的教師代表參與相關決策會議。
30 教師班上有個學生經常在小組活動時表現消極,不願意參與討論, 也不完成分配的工作,影響小組的整體表現。其他組員開始對該學生表達不滿。教師想要協助學生改善參與態度,最適合的策略是什麼? (A) 將學生重新分組,安排到較適合的小組中。 (B) 暫時調整該學生的學習方式,減少小組活動參與。 (C) 私下了解學生不願參與的原因,並提供適當的支持協助。 (D) 在班上公開討論小組合作的重要性,讓學生了解自己的責任。
31 學生小明在社群媒體上持續發布同學小華的不雅照片並加上羞辱性文字,造成小華不敢上學。經查,小明與小華分別就讀不同學校。根據《校園霸凌防制準則》,下列判斷何者正確? (A) 因為兩人分屬不同學校,不屬於校園霸凌,學校無須處理。 (B) 屬於校園霸凌,應由小華就讀的學校負責調查處理。 (C) 屬於校園霸凌,應由小明就讀的學校負責調查處理。 (D) 屬於校園霸凌,由先接獲檢舉的學校負責調查處理。
32 根據「推動中小學數位學習精進方案」,本計畫包含三大子計畫,下列敘述何者正確? (A) 數位內容充實計畫、行動載具與網路提升計畫、教育大數據分 析計畫 (B) 數位教材開發計畫、智慧教室建置計畫、學習成效評估計畫 (C) 師資培訓計畫、設備採購計畫、平台整合計畫 (D) 課程設計計畫、載具管理計畫、網路維運計畫
33 根據 Vygotsky 的社會建構主義理論,教師在進行「鷹架教學」 (Scaffolding)時,下列做法何者最符合理論精神? (A) 將複雜問題分解成小步驟,讓學生依序完成每個步驟。 (B) 提供學生標準答案,要求學生重複練習直到熟練。 (C) 觀察學生能力水準,在其最近發展區提供適當支持並隨學習進 展逐漸撤除。 (D) 讓學生自由探索學習,教師完全不介入以培養獨立思考。
34 明明國小在校務會議中決議,為了關注學生的身心發展,學校除持續提供營養午餐外,也與在地診所合作,安排每學期一次的學生身體健康檢查,並設置心理諮商室,供學生在需要時尋求協助。請問學校這些作為主要展現下列哪一種教育功能? (A) 傳承 (B) 選擇 (C) 保護 (D) 社會化
35 學生在導覽澎湖馬公觀音亭親水遊憩區時,發現岩石區的生物與沙 灘區不同,其可能與生物的棲息適應有關,請問學生的學習表現較符合下列哪一種認知歷程層次? (A)分析 (B)應用 (C)評估 (D)記憶
36 林老師發現班上學生常在寫作時表示:「我就是不會寫文章,不管怎麼學都沒用」,其反應出溫納(Weiner)的何種歸因傾向? (A) 外在─不穩定─可控制 (B) 外在─穩定─可控制 (C) 內在─穩定─不可控制 (D) 內在─不穩定-不可控制
37 賴老師希望引導學生發展自主學習的能力。以下哪一個提問較有助於學生設立目標並規劃學習歷程? (A)「你查到這個單元的哪些資料?資料來源有哪些?」 (B)「你現在的心情如何?可以進行學習嗎?」 (C)「說說看,你希望從這個學習活動獲得什麼結果?你要如何一步 步完成它?」 (D)「你還記得我們上次講到哪裡嗎?提到哪些重要的概念?」
38 郭老師運用「雙向細目表」確保評量品質。請問製作雙向細目表時,需根據哪兩個面向來安排試題的數量與難易度? (A)教學目標和教學內容 (B)教學內容和教學進度 (C)教學進度和教學方式 (D)教學方式和教學目標
39 希望國小近年積極推動本土語文課程(如閩南語、客語等),學校團隊希望透過系統性方式了解課程對學生學習成效、教學執行情形與資源安排等,於是決定採用「CIPP 課程評鑑模式」作為架構。下列哪一項做法較符合 CIPP 模式的核心理念? (A)透過期末考成績評比學生學習成果,作為課程實施是否成功的唯一依據。 (B)記錄老師教課堂數與本土語文教材用量,以確認課程是否完成原定進度。 (C)設計學生問卷與教師訪談,以了解學生學習狀況、教學困難與資 源需求。 (D)請行政人員撰寫教學計畫專案報告,以了解學校是否符合課程 政策要求。
40 小宇為了準備國語考試,將複習內容規劃在一週內的多個時段,每天安排短時間複習部分單元,取代在考前一天集中複習的行為。這樣的做法展現哪種學習策略? (A) 精熟學習 (B) 後設認知 (C) 分散練習 (D) 重複抄寫
41 根據 Gary D. Borich 的有效教學五大關鍵行為,教師在講課時語言精簡、重點明確,並搭配板書強化理解,其最能對應下列哪項教學行為? (A)引導學生投入學習 (B)任務取向教學 (C)多樣化教學 (D)講課清晰
42 在數位學習課堂,小芯與小組同學共同合作解決問題,並透過討論區分享解題策略與心得,再修正自己的想法與理解。這樣的教學設計最能說明哪一種學習理論? (A) 行為主義 (B) 認知理論 (C) 社會建構主義 (D) 訊息處理理論
43 古老師在數學課中,先讓學生操作將一個蛋糕平均分成 4 份,再引導學生將這個操作轉換為「1/4」的符號。這項教學活動最符合 Bruner 的哪一項教學原則? (A)動機原則 (B)結構原則 (C)增強原則 (D)順序原則
44 黃主任為學校新設的「數位學習教室」,預定採購高效能電腦與互動平板等設備。為提出合理的預算申請,他應將支出歸屬於哪一類預算項目? (A) 經常門-業務費 (B) 資本門-業務費 (C) 經常門-設備費 (D) 資本門-設備費
45 在常態分配下,約有多少百分比的資料會落在平均數正負一個標準差之內? (A) 34% (B) 50% (C) 68% (D) 95%
46 陳老師分析期中考試的數學成績後,發現第 8 題的答對率僅 10%,而高分組與低分組學生在此題的答題情形差異不大。根據此分析, 下列判斷何者最合理? (A)該題難度太低,無法有效鑑別學生。 (B)該題難度適中,但需改善敘述方式。 (C)該題鑑別度高,應保留以評量高層次能力。 (D)該題太難且鑑別度低,應考慮修正或刪除。
47 學校在推動社會情緒學習(SEL)過程中,若未建立一致價值與支持系統,學生的社會情緒學習效果不易達成,因此透過成立「SEL 教 師專業學習社群」,此能展現學校何種文化? (A) 表面順從文化 (B) 專業孤島文化 (C) 學習型文化 (D) 競爭取向文化
48 依據《十二年國民基本教育課程綱要總綱》,下列關於家長在課程與教學實施中的角色敘述,何者有誤? (A)學校應強制家長會成立家長學習社群或親師共學社群。 (B)身心障礙學生的個別化教育計畫(IEP)應包含學生家長的參與。 (C)課程實施歷程中,學校應積極爭取家長的支持與參與。 (D)學校可不定期邀請家長參與教師公開授課或課程活動,以促進理解與支持。
49 吳老師希望提升學生在數位學習活動中的參與與表現,根據《數位教學指引 3.0》,下列哪一項主要能展現教師的專業回饋與教學調整能力? (A) 僅依學生提交作業的時間快慢給予評分。 (B) 透過線上問卷了解學生對內容的理解,並調整教學方式。 (C) 依平台統計點閱率,將低點閱學生標註為學習低成就者。 (D) 完成單元後即關閉教學平台,避免學生再度進入課程資源。
50 在認識地方自然環境的課程中,呂教師提到:「澎湖冬天吹東北季風,風浪大、漁船多停航。」學生透過將這現象與實際經驗(如冬天風大、海邊遊客減少)連結,很快記住這段知識,其顯示他們運用哪一種記憶策略來促進學習? (A) 機械記憶 (B) 視覺記憶 (C) 意義編碼 (D) 操作制約
51 國語文第二學習階段開始教授「詞彙結構」,下列哪一個選項的結構 方式與其他三者不同? (A)拿開 (B)育嬰 (C)候機 (D)祭孔
52 下列選項語句,何者表達精確,不是病句? (A)我一吃過午飯以後,咱們就一起討論。 (B)水變成冰時,不但體積不收縮,反而膨脹。 (C)你今天即使不來這兒,我也要到你那兒去。 (D)為了避免霸凌事件不再發生,我們加強了法規和案例的宣導。
53 下列選項題辭的用法,何者正確? (A)主任的外公過百歲大壽,公司以題有「儀型萬方」的匾額作為賀 禮。 (B)主任的外公過百歲大壽,公司以題有「碩德堪欽」的匾額作為賀禮。 (C)主任的外公過百歲大壽,公司以題有「南極騰輝」的匾額作為賀禮。 (D)主任的外公過百歲大壽,公司以題有「道範長昭」的匾額作為賀禮。
54甲:「學習古詩詞,應在理解之後,認真背誦,使自己□□受用。乙:為了準備這份教案,國文老師走遍了整個鄉鎮,□□耆老的意見。」丙:「國語文國教輔導團和閱讀、寫作專家,精心編寫了這本中學生讀寫□□。」上述甲、乙、丙三個語句中的□□應填入下列哪一個選項?(A)終身/徵詢/專輯 (B)終生/垂詢/專集(C)終身/垂詢/專輯 (D)終生/徵詢/專集
55 下列詞語組成結構,何者與其他三者不同? (A)魂牽夢縈 (B)膽破魂奪 (C)貨真價實 (D)劍及履及
56 下列乙式書名號用法,何者標示正確? (A)〈臺灣全島衛星圖〉 (B)《蒙娜麗莎的微笑》 (C)《史記》〈項羽本紀〉 (D)《水調歌頭》(詞牌名)
57 「賢賢易色,事父母能竭其力,事君能致其身,與朋友交言而有信。 雖曰未學,吾必謂之學矣。」上述語句內容的意涵為何? (A)為人重在虛懷若谷。 (B)為學貴在實踐人倫。 (C)處事重在勤奮誠懇。 (D)養身貴在潛移默化。
58 「我是綠蠵龜,廣泛分布在熱帶及亞熱帶海域中。由於我用肺呼吸, 我在海中的潛水深度極限約一、兩百公尺。主食是海中的海草與大型海藻,因此我的體內脂肪累積了許多綠色色素,呈現淡綠色,也因此得名。我目前已瀕臨絕種,全世界僅剩下約 20 萬頭產卵的母龜,在世界自然保護聯盟的瀕危物種紅色名錄中。」本段文字屬於哪一種文本? (A)記敘文本 (B)說明文本 (C)議論文本 (D)故事文本
59 下列選項中「」的字音,何者前後一致? (A)懶「散」/「散」步 (B)參「差」/「差」異 (C)嫌「惡」/「惡」運 (D)排「比」/「比」鄰
60 「他拗不過大家的想法,只能悻悻然離去。」一句中「悻悻」的意涵,下列何者最合適? (A)尷尬窘迫 (B)憤恨難平 (C)不以為然 (D)剛愎固執
61 「幡然醒悟」一詞中「幡然」的意涵,下列何者正確? (A)迅疾靈動 (B)奮起前進 (C)莫名感動 (D)忽然改變
62 《論語.子路》:「名不正,則言不順;言不順,則事不成。」表達的意涵,下列何者最合適? (A)為人要一諾千金才能成功。 (B)要做符合禮法道義的事情。 (C)要端正名聲以為成功準備。 (D)做事需要為眾人利益考量。
63 「蓬蓽生輝」一詞中的「蓬蓽」,與下列何者意思最接近? (A)瓊樓(B)水榭(C)雕梁(D)寒舍
64 司馬光《訓儉示康》:「管仲鏤簋朱紘,山楶藻梲,孔子鄙其小器。」 的主要意涵,下列說明何者最合適? (A)管仲所用的器物過於簡樸。 (B)管仲使用不符身分的事物。 (C)孔子認為過於錙銖必較難成大事。 (D)孔子認為處事大器才能彰顯風範。
65 琹涵〈晨霧〉:「難怪現代人要提倡慢活、慢讀、慢享。請放慢腳步, 才能看到每一張迎面而來的臉孔,或歡欣或憂愁或凝重或驚慌,不同面容的背後都有著各自的故事。也只有慢慢的走,我們才看得見更多美好的風景,如晨霧,如夕照,如陰雨,如晴天。」中運用的寫作技巧,下列說明何者最合適? (A)運用類疊,呈現文中人物多元的樣貌。 (B)運用排比,羅列現代人們不同的故事。 (C)運用譬喻,展現自然風景各式的可能。 (D)運用示現,展現人與自然互動的成果。
66 琦君〈從前〉:「『青燈有味是兒時』,每個人都有過一個歡樂的童年, 因為每個人都承受過雙親無邊無盡的愛。儘管『棄我去者昨日之日不可留』,卻不是『亂我心者今日之日多煩憂』。我只覺得追念雙親之愛,懷念師友之誼,會給我更多的激勵,使我更體認到生命的可 貴,生活的溫馨美好,而思有以為報。」一段的主要意涵,下列何者最合適? (A)父母之愛讓人得以成長。 (B)亂我心者始於昨日之日。 (C)生命歷經挫折才值得回味。 (D)美好過往使生命增添價值。
67 下列關於注音符號教學的說明,哪一個選項是錯誤的? (A)練習拼讀時,採用「直接拼讀法」。 (B)於國民小學階段第一學年的前十週進行教學。 (C)必須依照注音符號的順序逐一教學,以利學生掌握教學系統。 (D)採用綜合教學法教學,先教完整的語句,再分析出語詞、單字和符號。
68 下列對聯與行業的配對,正確的是哪一個選項? (甲)存心為補先天缺,有技能開後世矇。 (乙)秋研桂露金成液,香淺橘泉玉作丸。 (丙)色香古茂留真跡,翰墨因緣壯大觀。 (丁)六禮未成轉眼洞房花燭,五經不讀霎時金榜題名。 (A)甲:眼鏡行;乙:藥廠;丙:裝裱店;丁:戲院 (B)甲:打鐵店;乙:裝裱店;丙:藥廠;丁:書局 (C)甲:便利商店;乙:藥廠;丙:畫廊;丁:戲院 (D)甲:眼鏡行;乙:玩具工廠;丙:書局;丁:戲院
69 下列出現在新聞媒體中的文句,用字完全正確的是下列哪一個選 項? (A)本服飾店既日起 3 折,歡迎舊雨新知來店選購。 (B)戰士們心裡最害怕的對手是誰,這個怪獸就會讓戰士們在淺意 識中跟他的對手對打。 (C)她在奧運場上叱吒風雲,但是,最顯為人知的大概就是她也出了名的愛漂亮。 (D)演講的魅力在於當下。如同演唱會,演唱者出現,她的聲音、她的神情、她的眉眼靈動之間與轉身飄袂之際,無處不是情感的含蓄或奔放。
70 漢語中的量詞,係用來表示名詞的數量,習慣與數詞連用。其中所謂的「臨時量詞」,是指將具體的名詞,借來做為量詞使用。下列為 「臨時量詞」的是哪一個選項? (A)一面鏡子、一枝玫瑰、一位教授 (B)一堆蘋果、一群綿羊、一段文章 (C)一頭白髮、一池秋水、一葉扁舟 (D)一磅豬肉、一兩黃金、一斤紅豆
71 下列文句中的成語用法,哪一個選項是正確的? (A)小偷聽到警鈴後「不脛而走」,迅速逃離現場。 (B)他態度謙和,總是「文過飾非」,讓人佩服。 (C)她講話總是「拾人牙慧」,充滿個人獨特的想法與見解。 (D)時尚的變遷極為快速,現在流行的事物,過些時日轉眼就成為了 「明日黃花」。
72 十二年國教語文學習領域綱要(國語文)中,關於國語文的課文教學,下列敘述何者正確? (A)第一學習階段宜強調識字正確性與流暢性。 (B)第二學習階段則應該將重點放在閱讀理解策略的認識,以及篇 章結構、敘寫手法的探究。 (C)第三學習階段起強調詞彙及句型的學習,以及篇章的閱讀技巧。 (D)閱讀教學以強化思辨練習,培養獨立思考能力為主,不宜兼顧識 字與寫字、聆聽、口語表達、寫作等各項教學活動。
73 〈飛魚成年禮〉課文中提到,「島上的孩子要練習划槳,也要學習做拼板舟。『跟著家族出海捕飛魚,也是一種成長的考驗。』長老的話和古老的風一樣有道理。」請問這個場景最有可能出現在哪裡? (A)綠島 (B)蘭嶼 (C)澎湖 (D)小琉球
74 下列文句中,哪一句使用了「擬人法」的修辭? (A)百花是春天的女兒。 (B)春茶取其甘美,冬茶取其清香。 (C)搭上飛機才貼近世界。 (D)我搖著頭,愣著看她收拾行囊。
75 下列哪一組句子最符合「目的複句」的語意關係? (A)為了保護蚵苗,蚵民經常巡視海面。 (B)父親先出發,再叫我跟上。 (C)雖然我喜歡茶香,但更愛山景。 (D)不但走遍山區,還買了名產回家。
76 古代文化中,「東、西、南、北」四個方位各有不同的文化意涵,下列配對,哪一個選項是正確的? (A)做東-老師/西席-客人/南面-下人/北堂-祖先 (B)做東-主人/西席-家庭教師/南面-為王/北堂-母親 (C)做東-賓客/西席-兄弟/南面-逃亡/北堂-朋友 (D)做東-皇帝/西席-母親/南面-朝臣/北堂-學子
77 下列這首詩所描寫的是澎湖哪一種特殊景觀? 缺口/早已在海邊守候/看來像龍門/好奇的我躍入/以為門內有桃花源迎迓/直到找不到來時路/才驚覺那是石頭築成的/美 麗的陷阱/沒有桃花/一生第一次在魚網作客/第一次遠離大海的關懷/一如離家出走的孩子/一生第一次上岸,也是最後一次/ 一切都成為海市蜃樓/兒時向母親學習交友/覓食和逃生的技術 /都已成為臨死前口吐的泡沫 (A)石滬 (B)牽罟 (C)魚筌 (D)定置網
78 關於李清照執著舊物的情感,在下列哪一文句中最能呈現? (A)人亡弓,人得之,又胡足道。 (B)遇書史百家不刓闕,本不訛謬者,輒市之儲作副本。 (C)抑亦死者有知,猶斤斤愛惜,不肯留人間邪?何得之艱而失之易也。 (D)時猶有書二萬卷,金石刻二千卷,器皿、茵褥可待百客,他長物 稱是。
79 根據上文,關於文學價值的說明,下列何者最合適? (A)對他人生命的勸諫與安慰。 (B)對過往情感的記錄與省思。 (C)對自我價值的覺察與包容。 (D)對歷史文化的留存與檢視。
80 關於上文的主要表述,下列說明何者最合適? (A)人應以物作為紀念。 (B)文學是生命的乘載。 (C)人人皆有美好人生。 (D)珍惜生命中的幸福。
81 如右圖。有一個 21 公分高封口的瓶子,裝了高 12 公分的水,將瓶子上下顛倒後,水的高度為 15 公分,請問這些水佔瓶子容量的多少? (A)(B) (C)(D)
82 小明原本的體能平均分數是 80 分,最後一項體能測驗得到 98 分,讓他的體能平均分數提高到 83 分,請問他總共做了幾項體能測驗? (A) 5 (B) 6 (C) 7 (D) 8
83 學校要在禮堂側面的牆上掛上 18 幅美術比賽的優勝畫作,已知牆面寬 25.1 公尺,每幅畫寬 55 公分,如果牆邊到畫以及畫與畫之間都要有相同的間隔,請問間隔是幾公分? (A) 80 (B) 90 (C) 100 (D) 110
84 商店門口有 78 人排隊等待搶購特價品。小明前面排了 28 個人,小 華後面排了 33 個人,請問他們兩人間隔了多少個人? (A) 14 (B) 15 (C) 16 (D) 17
85 小明用 8 支等長木棒以直角相接拚出一個線對稱圖形。下列(1)拿走 1、2;(2)拿走 1、3;(3)拿走2、4 等三種「拿走其中 2 支」的方法中,使剩下的圖形還是線對稱圖形的有方法幾種? (A) 0 (B) 1 (C) 2 (D) 3
86 男女生共 56 人參加某項競賽,初賽時淘汰了的女生和的男生,剩餘 40 人繼續比賽,請問競賽開始時男女生人數相差多少? (A) 4 (B) 6 (C) 8 (D) 12
87 媽媽發現有人吃了她最喜歡的甜甜圈。她懷疑是自己的三個孩子之一:大哥、二哥、小弟。孩子們發表以下聲明: 小弟說:二哥吃了甜甜圈。大哥說:小弟沒有吃甜甜圈。 二哥說:我吃了甜甜圈。 如果只有一個說法是真的,那麼誰吃了甜甜圈? (A) 大哥 (B) 二哥 (C) 小弟 (D) 三個孩子都吃了甜甜圈
88 設,則這四個數中何者最大? (A)甲 (B)乙 (C)丙 (D)丁
89 王老闆有 8 公升的果汁,每公升裝一瓶出售,儘量裝完,則分裝後還剩下多少公升? (A) (B) (C)(D)
91 我們可以使用點和線來構造圖案,以下前三個圖是依照某種規律製作的圖案。圖 1 用了 5 個黑點、4 條線,圖 2 用了 8 個黑點、8 條線。設圖 12 有 a 個黑點,b 條線,則 a+b=? (A) 50 (B) 68 (C) 86 (D) 89
92 在一條筆直的道路上,甲和乙騎腳踏車,兩人從同一地點出發,方向相反。15 分鐘後,兩人相距 12 公里。甲的平均速率為 20 公里/ 小時。問:乙的平均速率是多少? (A) 20 公里/小時 (B) 28 公里/小時 (C) 32 公里/小時 (D) 35 公里/小時
93 從 1 到 100,與 2 或 3 互質的整數一共有多少個? (A) 67 (B) 66 (C) 34 (D) 33
94. 已知的整數部分為 10,且a為正整數,則滿足此條件的a有幾個?(A) 21(B) 20(C) 10(D) 1
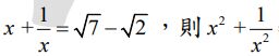
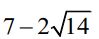
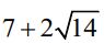
95 已知? (A) (B) (C) (D)
96 直角坐標平面上有一圓,其圓心為?(1, −4),已知圓上有一點 P(6,8),請問此圓的直徑為何? (A) 13 (B) 17 (C) 26 (D) 34
97 有一張地圖,地圖上長度 2 公分的線段,實際長度為 2 公里。有關此地圖「比例尺」,下列何者正確? (A) 1:10000 (B) 11000 (C) ,其中 1 單位代表 1 公分 (D) ,其中 1 格代表 1 公分
98 有五個正整數,它們的平均數為 6,中位數為 8,且只有 9 是衆數。 這五個數中的最大數與最小數可能的最大差距為何? (A) 8 (B) 7 (C) 6 (D) 5
99 「想要把一張長方形紙卡全部剪成一樣大的正方形,每個正方形的邊長都是整數公分,可以有很多不同的剪法。如果剪出的正方形邊長最長是 18 公分,其他剪法剪出的正方形邊長可能是多少公分?」 這個布題最可能是下列哪個學習內容的教學內容? (A) S-4-3「正方形與長方形的面積與周長」 (B) N-5-3「公因數和公倍數」 (C) N-5-10「解題:比率與應用」 (D) N-6-1「20 以內的質數和質因數分解」
100 志軒正確計算「8 × 3 ÷ 4 = 8 × = 6」,但用同樣的方式計算 「8 ÷ 4 × 3 = 8 ÷ 12 = 」卻答案錯誤。請問他最可能在下列何者的運用上發生問題? (A)乘除法的交換律 (B)乘除法的結合律 (C)乘除法的分配律 (D)「先乘除後加減」中的先乘再除