阿摩線上測驗
登入
首頁
>
技檢◆食物製備-單一級
> 115年 - 21800 食物製備 單一 工作項目 01:認識食材 101-150(2026/01/13 更新)#136813
115年 - 21800 食物製備 單一 工作項目 01:認識食材 101-150(2026/01/13 更新)#136813
科目:
技檢◆食物製備-單一級 |
年份:
115年 |
選擇題數:
50 |
申論題數:
0
試卷資訊
所屬科目:
技檢◆食物製備-單一級
選擇題 (50)
101. 植物奶油成分不含下列何者? (A)玉米粉 (B)水 (C)鹽 (D)大豆 。
102. 奶油裡亦含有多種飽和脂肪酸,這是對血管有害的脂肪酸,患有何種疾病之患者忌食,或是少吃為佳? (A)高血壓 (B)青光眼 (C)痛風 (D)低血壓 。
103. 雞蛋的蛋黃中之何種成分對神經系統和身體發育有很大的作用? (A)卵磷脂(B)葉酸 (C)菸鹼酸 (D)蛋白質 。
104. 蛋白質攝取過量,對人體會有以下何種影響? (A)血壓不穩定 (B)增加心臟的負荷 (C)引發便秘 (D)供給熱能 。
105. 蛋白質攝取不足,對人體會有以下何種影響? (A)促進肝功能 (B)消化不良(C)肌肉發達 (D)促進新陳代謝 。
106. 下列何種食物是鈣質的良好來源? (A)豆芽 (B)淺色蔬菜 (C)麵粉 (D)小魚乾 。
107. 黃豆蛋白質的性質具有 (A)溶油性 (B)促進或抑制吸收性 (C)光合作用 (D)美白作用 。
108. 依黃豆食品分類,無以下何者? (A)結晶產品 (B)結塊產品 (C)發芽製品 (D)流體產品 。
109. 食材製成乾貨目的不包含 (A)延長保存 (B)體積變大 (C)增加風味 (D)配合烹調 。
110. 何種維生素在雞心中含量最高,幾乎為各種肉類、內臟類之冠? (A)維生素A (B)維生素 B (C)維生素 E (D)維生素 D 。
111. 可利用雞蛋的起泡性、乳化性以及何種特性製作點心麵包料理? (A)發酵性(B)收縮性 (C)熱凝固性 (D)延展性 。
112. 下列何種蛋比雞蛋的膽固醇要高? (A)火雞蛋 (B)珠雞蛋 (C)土雞蛋 (D)烏骨雞蛋 。
113. 肉類是哪種礦物質的良好來源? (A)鐵 (B)鈣 (C)鋅 (D)鎂 。
114. 肉類的主要成份除了水份,脂肪外還含有哪種主要成份? (A)醣類 (B)蛋白質 (C)纖維質 (D)鈣質 。
115. 漁穫物的種類相當多樣化,下列何者非屬之? (A)頭足類 (B)棘皮類 (C)貝類(D)結球類 。
116. 有關生鮮魚類的特性,何者正確? (A)水產類比蔬果產品更容易保鮮 (B)秋刀魚、鯧魚屬於淡水魚 (C)淡水魚易感染寄生蟲,食用時宜完全煮熟 (D)漁獲供應穩定 。
117. 新鮮魚類的特徵為 (A)眼睛混濁 (B)魚鰓翻開呈現暗褐色 (C)腹部容易破裂 (D)觸摸起來堅實有彈性 。
118. 新鮮的蝦類會呈現下列何種情形? (A)蝦頭顏色變黑 (B)頭部鬆弛甚至脫落(C)色澤暗沉,花紋清晰 (D)肉質結實有彈性 。
119. 關於鰹魚之敘述,何者為非? (A)又稱煙仔 (B)可製成柴魚片 (C)分布於全球各大洋溫暖海域 (D)屬於頭足類 。
120. 花枝又稱為烏賊或 (A)章魚 (B)中卷 (C)透抽 (D)墨魚 。
121. 有關軟絲的特性,下列何者正確? (A)具有 6 隻粗腕大吸盤 (B)又稱為小卷(C)鰭跟身體一樣長 (D)體內有硬殼 。
122. 魚貝類比農產品及畜產品容易腐敗,何者是魚貝類具此特性主要原因?______ 多元不飽和脂肪酸 。(A)水分含量少 (B)肌肉纖維長 (C)結締組織多 (D)脂質中含較多
123. 牡蠣別稱為蠔或是下列何者? (A)蛤仔 (B)蚵仔 (C)蜆仔 (D)海羊乳 。
124. 魚類與人類一樣具有心臟、肝,以及何種內臟器官? (A)腸子 (B)脾臟 (C)鰭(D)腮 。
125. 下列蔬菜何者屬於根莖類? (A)波菜 (B)萵苣 (C)山藥 (D)番茄 。
126. 富含澱粉質的蔬菜有哪些? (A)馬鈴薯 (B)竹筍 (C)番茄 (D)洋蔥 。
127. 果菜類包含冬瓜、南瓜以及下列何者? (A)胡蘿蔔 (B)洋蔥 (C)薑 (D)茄子 。
128. 下列蔬菜的食用部位屬於葉菜類有哪些? (A)玉米 (B)波菜 (C)花椰菜 (D)蘆筍 。
129. 下列何者為莖菜類? (A)茄子 (B)地瓜 (C)空心菜 (D)筊白筍 。
130. 類胡蘿蔔素為脂溶性色素之統稱,廣存於黃色、橘色及紅色水果中,下列何者屬之? (A)花青素 (B)葉綠素 (C)酵素 (D)葉黃素 。
131. 有關馬鈴薯的敘述何者正確? (A)又稱為白地瓜 (B)為全球最重要的穀物類之農作物 (C)可實用部分為根部 (D)主要含碳水化合物、多種蛋白質、礦物質 。
132. 下列何者非屬於水果類? (A)牛番茄 (B)水梨 (C)西洋梨 (D)高接梨 。
133. 下列何者是冬天生產的葉菜類? (A)蕨菜(過貓) (B)茼蒿 (C)莧菜 (D)扁蒲 。
134. 下列何者非屬黃豆製品? (A)豆花 (B)皇帝豆 (C)納豆 (D)豆腐 。
135. 皮蛋又稱松花蛋、鹼蛋或是下列何者? (A)臭蛋 (B)灰黑蛋 (C)灰包蛋 (D)黑蛋 。
136. 豆製品若沒在適當溫度下貯存容易腐壞,下列何者只適合短時間冷藏保存使用? (A)生豆包 (B)豆漿 (C)豆腸 (D)百頁豆腐 。
137. 關於食品分散的敘述何者正確? (A)鹽水溶液與膠體溶液均是真溶液 (B)溶液中溶質的量必須小於溶劑的量 (C)以脂肪為介質的食品分散系通常是 oil-in-water 型 (D)水溶液的溶解度為常數,與溫度無關 。
138. 關於膠體的敘述何者錯誤? (A)沖泡好的熱牛奶靜置一段時間後,會在表面形成脂肪懸浮,攪散懸浮脂肪可形成膠體 (B)具有親水端和疏水端的分子比較容易形成水溶液膠體,且親水端分佈膠體表面 (C)卵磷酯是一種界面活性劑,可穩定膠體 (D)製作豆腐時加入石膏,是藉由鈣離子改變膠體顆粒的表面電荷,破壞膠體穩定性 。
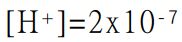
139. 關於酸鹼度的敘述何者錯誤? (A)以 pH 值呈現 (B)
(C)
時,pH 值介於 6 到 7 之間 (D)pH<7,呈酸性,[H+]<[OH-] 。
140. 關於蛋白質及胺基酸的敘述何者正確? (A)胺基酸(-NH
2
)、(-COOH)功能基(取代基)組成 (B)蛋白質由多個胺基酸及水分子形成 (C)+H
3
N-R-COO-在酸性環境中會變成 H
2
N-R-COO- (D)蛋白質的主鏈不含氮 。
141. 關於蛋白質變性的敘述何者正確? (A)蛋白質變性後,對水的溶解度減少(B)以加熱方式使蛋白質變性後,蛋白質具有可復性(renaturation) (C)調整蛋白質溶液之 pH 值可使酸鹼值呈中性,進而使蛋白質變性 (D)蛋白質變性後,其一級結構改變 。
142. 關於酵素的敘述何者正確? (A)酵素是一種生物性催化劑,但是無法改變反應的活化能 (B)酵素是一種含蛋白質化合物 (C)輔酶(coenzyme)是一種含蛋白質化合物 (D)在含有酵素的環境下,基質濃度越高,反應速率越快,所以基質濃度越高越好 。
143. 關於酵素性褐變的敘述何者錯誤? (A)酵素性褐變常在受傷植物表面發生(B)酵素性褐變的基質是多元酚類(polyphenol) (C)酵素性褐變易在氧氣存在的情形下發生 (D)維生素 C 的存在會加速酵素性褐變 。
144. 關於梅納反應的敘述何者正確? (A)所產生的褐色為烘焙食品所不樂見 (B)不會形成特殊風味 (C)反應過程中,因為醛糖與含胺基物質所產生的 N-取代基糖胺而呈褐色 (D)為一連串的酵素反應 。
145. 每一水分子中之兩個氫原子,則可與另兩個水分子中之氧原子形成兩個氫鍵,所以每一水分子最多可產生______個氫鍵。(A)1 (B)2 (C)3 (D)4
146. 食品分散系,水在油中型(water-in-oil)之敘述何者正確? (A)分散相為水 (B)分散相為油 (C)介質相為水 (D)油水同為介質相 。
147. 保持膠體穩定的方法何者錯誤? (A)利用物質水合性(如酪蛋白之疏水端內聚,親水端暴露於顆表面) (B)利用界面活性物質,如泡沫穩定劑、乳化劑(C)改變顆粒表面的電荷數 (D)改變溫度 。
148. 黃豆漿煮沸後,加入石膏(含 Ca2+)目的為何? (A)增加黃豆蛋白之膠體穩定(B)破壞黃豆蛋白之膠體穩定,而使黃豆蛋白沉澱 (C)增加黃豆蛋白之溶解度(D)使黃豆蛋白進行凝膠 。
149. 蛋白質二級結構主要吸引力不包括下列何者? (A)分子內氫鍵 (B)凡得瓦爾力 (C)雙硫鍵 (D)分子間氫鍵 。
150. 膠原蛋白的敘述何者錯誤? (A)是結締組織的一種特殊纖維蛋白 (B)為一種二級結構蛋白質 (C)為一種三級結構蛋白質 (D)由三條胜肽鏈互相纏繞而形成安定的三螺旋構造 。
申論題 (0)
相關試卷
115年 - 21800 食物製備 單一 工作項目 06:認識器具設備 1-49(2026/01/13 更新)#136823
115年 · #136823
115年 - 21800 食物製備 單一 工作項目 05:製備(刀工、烹調)及成本控制 51-104(2026/01/13 更新)#136822
115年 · #136822
115年 - 21800 食物製備 單一 工作項目 05:製備(刀工、烹調)及成本控制 1-50(2026/01/13 更新)#136821
115年 · #136821
115年 - 21800 食物製備 單一 工作項目 04:貯存 51-83(2026/01/13 更新)#136820
115年 · #136820
115年 - 21800 食物製備 單一 工作項目 04:貯存 1-50(2026/01/13 更新)#136819
115年 · #136819
115年 - 21800 食物製備 單一 工作項目 03:前處理 51-79(2026/01/13 更新)#136818
115年 · #136818
115年 - 21800 食物製備 單一 工作項目 03:前處理 1-50(2026/01/13 更新)#136817
115年 · #136817
115年 - 21800 食物製備 單一 工作項目 02:選材(採購與驗收) 51-118(2026/01/13 更新)#136816
115年 · #136816
115年 - 21800 食物製備 單一 工作項目 02:選材(採購與驗收) 1-50(2026/01/13 更新)#136815
115年 · #136815
115年 - 21800 食物製備 單一 工作項目 01:認識食材 151-195(2026/01/13 更新)#136814
115年 · #136814